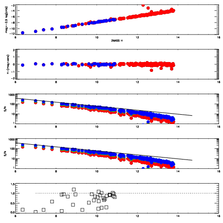
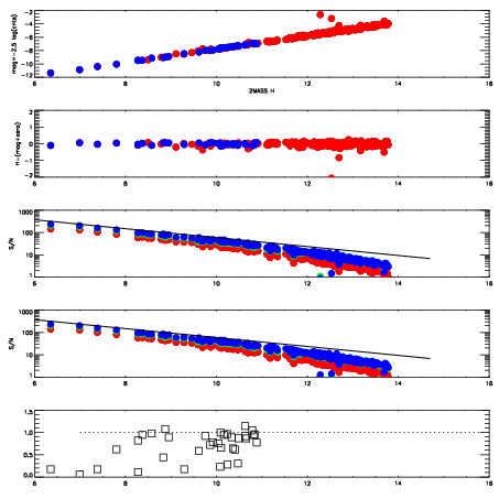
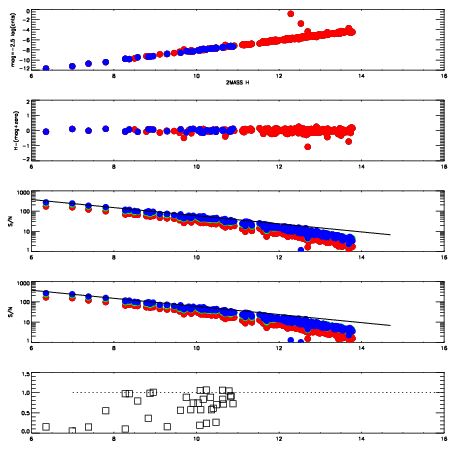
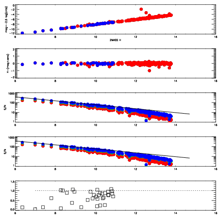
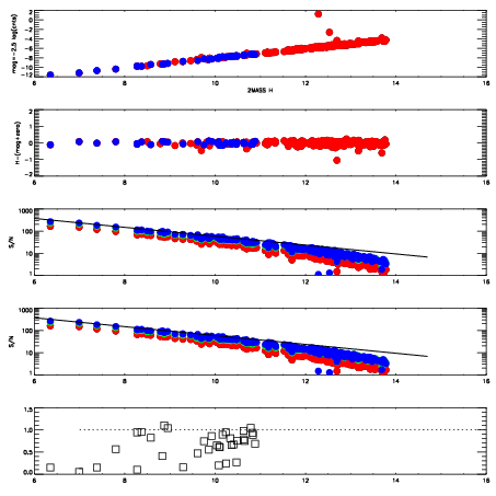
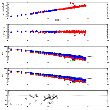
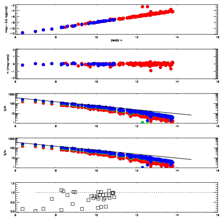
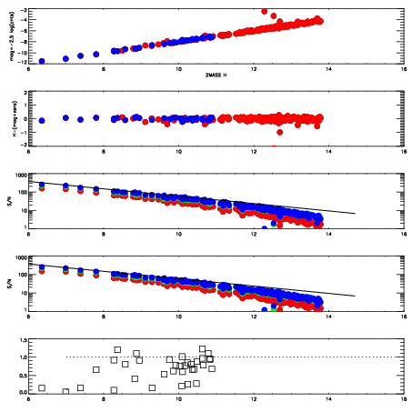
Frame | Nreads | Zeropoints | Mag plots
| Spatial mag deviation
| Spatial sky 16325A emission deviations (filled: sky, open: star)
| Spatial sky continuum emission
| Spatial sky telluric CO2 absorption deviations (filled: H < 10)
|
5210048
| 47
| | Red | Green | Blue
| z | | 18.10
| znorm | | 13.92
| sky | 14.5 | 14.3 | 14.4
| S/N | 8.2 | 13.9 | 13.6
| S/N(c) | 10.7 | 5.2 | 16.3
| SN(E/C) | 0.72
|
|
|
|
|
|
|
5210049
| 47
| | Red | Green | Blue
| z | | 18.08
| znorm | | 13.90
| sky | 14.8 | 14.6 | 14.8
| S/N | 7.8 | 13.8 | 13.9
| S/N(c) | 10.3 | 5.1 | 16.0
| SN(E/C) | 0.69
|
|
|
|
|
|
|
5210050
| 47
| | Red | Green | Blue
| z | | 17.80
| znorm | | 13.62
| sky | 14.7 | 14.7 | 14.9
| S/N | 6.0 | 11.3 | 11.8
| S/N(c) | 8.4 | 4.3 | 13.4
| SN(E/C) | 0.78
|
|
|
|
|
|
|
5210051
| 47
| | Red | Green | Blue
| z | | 17.87
| znorm | | 13.69
| sky | 14.9 | 14.6 | 14.9
| S/N | 6.4 | 12.0 | 12.8
| S/N(c) | 8.8 | 4.5 | 13.8
| SN(E/C) | 0.81
|
|
|
|
|
|
|
5210052
| 47
| | Red | Green | Blue
| z | | 18.10
| znorm | | 13.92
| sky | 14.9 | 14.8 | 15.0
| S/N | 7.7 | 14.0 | 15.0
| S/N(c) | 9.9 | 4.9 | 15.5
| SN(E/C) | 0.77
|
|
|
|
|
|
|
5210053
| 47
| | Red | Green | Blue
| z | | 18.01
| znorm | | 13.83
| sky | 14.7 | 14.9 | 14.9
| S/N | 7.2 | 13.2 | 14.2
| S/N(c) | 9.4 | 4.7 | 14.8
| SN(E/C) | 0.76
|
|
|
|
|
|
|
5210054
| 47
| | Red | Green | Blue
| z | | 17.95
| znorm | | 13.77
| sky | 14.7 | 14.9 | 15.0
| S/N | 7.1 | 12.9 | 13.9
| S/N(c) | 9.1 | 4.6 | 14.4
| SN(E/C) | 0.77
|
|
|
|
|
|
|
5210055
| 47
| | Red | Green | Blue
| z | | 18.05
| znorm | | 13.87
| sky | 14.8 | 14.8 | 14.9
| S/N | 8.0 | 13.6 | 14.9
| S/N(c) | 9.7 | 4.9 | 15.3
| SN(E/C) | 0.74
|
|
|
|
|
|
|