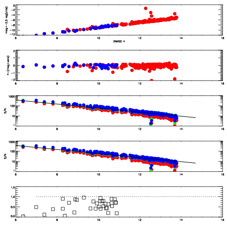
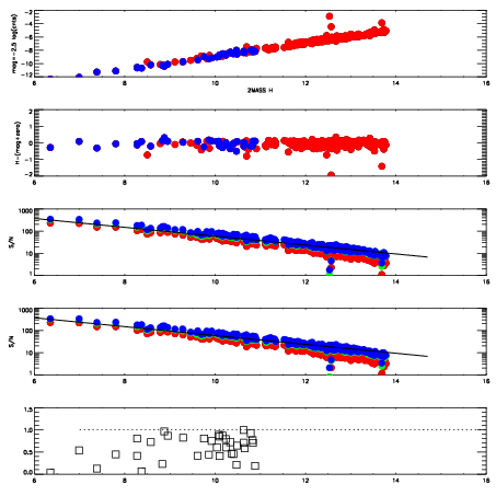
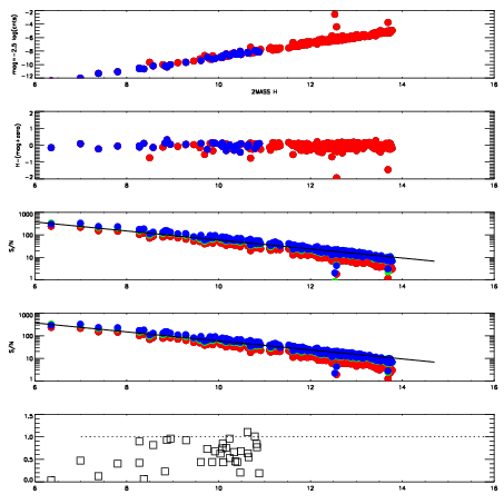
Frame | Nreads | Zeropoints | Mag plots
| Spatial mag deviation
| Spatial sky 16325A emission deviations (filled: sky, open: star)
| Spatial sky continuum emission
| Spatial sky telluric CO2 absorption deviations (filled: H < 10)
|
5260013
| 47
| | Red | Green | Blue
| z | | 19.02
| znorm | | 14.84
| sky | 14.5 | 14.4 | 14.1
| S/N | 15.1 | 24.7 | 26.4
| S/N(c) | 18.2 | 8.1 | 26.1
| SN(E/C) | 0.62
|
|
|
|
|
|
|
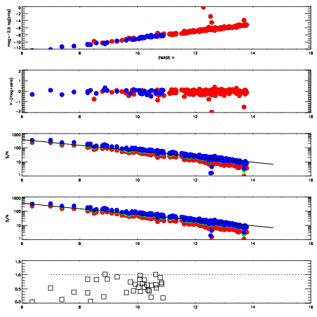
5260014
| 47
| | Red | Green | Blue
| z | | 18.90
| znorm | | 14.72
| sky | 14.3 | 14.5 | 14.5
| S/N | 13.5 | 22.8 | 25.2
| S/N(c) | 16.8 | 7.7 | 24.9
| SN(E/C) | 0.63
|
|
|
|
|
|
|
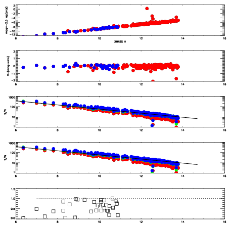
5260015
| 47
| | Red | Green | Blue
| z | | 18.99
| znorm | | 14.81
| sky | 14.4 | 14.5 | 14.5
| S/N | 14.5 | 24.2 | 26.5
| S/N(c) | 17.5 | 8.0 | 25.9
| SN(E/C) | 0.61
|
|
|
|
|
|
|
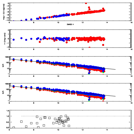
5260016
| 47
| | Red | Green | Blue
| z | | 18.95
| znorm | | 14.77
| sky | 14.4 | 14.5 | 14.5
| S/N | 14.2 | 23.7 | 25.9
| S/N(c) | 17.1 | 7.8 | 25.3
| SN(E/C) | 0.61
|
|
|
|
|
|
|
5260017
| 47
| | Red | Green | Blue
| z | | 18.96
| znorm | | 14.78
| sky | 14.4 | 14.6 | 14.5
| S/N | 14.4 | 24.0 | 26.1
| S/N(c) | 17.0 | 7.9 | 25.5
| SN(E/C) | 0.60
|
|
|
|
|
|
|
5260018
| 47
| | Red | Green | Blue
| z | | 18.97
| znorm | | 14.79
| sky | 14.4 | 14.5 | 14.6
| S/N | 14.7 | 24.4 | 26.5
| S/N(c) | 17.0 | 7.8 | 25.5
| SN(E/C) | 0.64
|
|
|
|
|
|
|
5260019
| 47
| | Red | Green | Blue
| z | | 19.01
| znorm | | 14.83
| sky | 14.3 | 14.3 | 14.4
| S/N | 15.1 | 24.9 | 27.1
| S/N(c) | 17.5 | 8.1 | 26.2
| SN(E/C) | 0.60
|
|
|
|
|
|
|
5260020
| 47
| | Red | Green | Blue
| z | | 19.01
| znorm | | 14.83
| sky | 14.5 | 14.5 | 14.4
| S/N | 15.0 | 24.9 | 27.4
| S/N(c) | 17.7 | 8.1 | 26.1
| SN(E/C) | 0.62
|
|
|
|
|
|
|