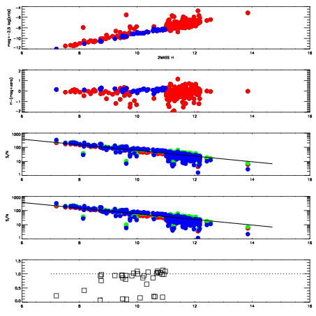
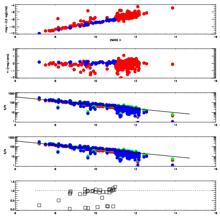
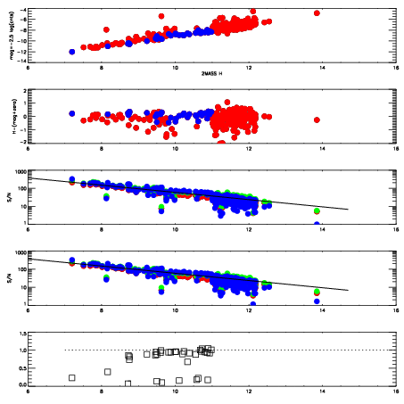
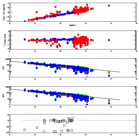
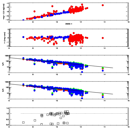
Frame | Nreads | Zeropoints | Mag plots
| Spatial mag deviation
| Spatial sky 16325A emission deviations (filled: sky, open: star)
| Spatial sky continuum emission
| Spatial sky telluric CO2 absorption deviations (filled: H < 10)
|
5240052
| 47
| | Red | Green | Blue
| z | | 18.99
| znorm | | 14.81
| sky | 13.8 | 13.7 | 13.6
| S/N | 17.5 | 23.5 | 17.8
| S/N(c) | 24.6 | 26.8 | 5.0
| SN(E/C) | 0.89
|
|
|
|
|
|
|
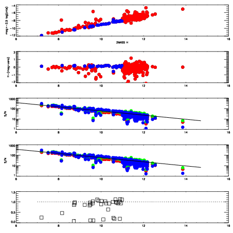
5240053
| 47
| | Red | Green | Blue
| z | | 19.01
| znorm | | 14.83
| sky | 14.0 | 13.8 | 13.8
| S/N | 18.3 | 23.9 | 18.2
| S/N(c) | 24.9 | 27.0 | 5.1
| SN(E/C) | 0.91
|
|
|
|
|
|
|
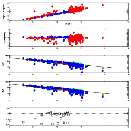
5240054
| 47
| | Red | Green | Blue
| z | | 19.05
| znorm | | 14.87
| sky | 13.9 | 13.8 | 13.9
| S/N | 18.7 | 24.5 | 19.0
| S/N(c) | 25.6 | 28.0 | 5.4
| SN(E/C) | 0.93
|
|
|
|
|
|
|
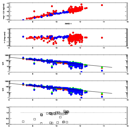
5240055
| 47
| | Red | Green | Blue
| z | | 19.03
| znorm | | 14.85
| sky | 13.9 | 13.9 | 13.8
| S/N | 18.1 | 24.3 | 18.6
| S/N(c) | 25.2 | 27.2 | 5.2
| SN(E/C) | 0.93
|
|
|
|
|
|
|
5240056
| 47
| | Red | Green | Blue
| z | | 18.99
| znorm | | 14.81
| sky | 13.9 | 14.0 | 13.9
| S/N | 17.9 | 23.7 | 18.2
| S/N(c) | 24.6 | 27.0 | 5.2
| SN(E/C) | 0.93
|
|
|
|
|
|
|
5240057
| 47
| | Red | Green | Blue
| z | | 18.86
| znorm | | 14.68
| sky | 14.0 | 14.0 | 14.0
| S/N | 16.0 | 21.8 | 16.9
| S/N(c) | 22.6 | 25.0 | 4.8
| SN(E/C) | 0.92
|
|
|
|
|
|
|
5240058
| 47
| | Red | Green | Blue
| z | | 19.00
| znorm | | 14.82
| sky | 13.9 | 14.0 | 13.9
| S/N | 18.0 | 23.8 | 18.3
| S/N(c) | 24.7 | 27.1 | 5.2
| SN(E/C) | 0.95
|
|
|
|
|
|
|
5240059
| 47
| | Red | Green | Blue
| z | | 18.94
| znorm | | 14.76
| sky | 13.9 | 14.0 | 13.9
| S/N | 17.1 | 22.6 | 17.7
| S/N(c) | 23.9 | 25.9 | 5.0
| SN(E/C) | 0.93
|
|
|
|
|
|
|