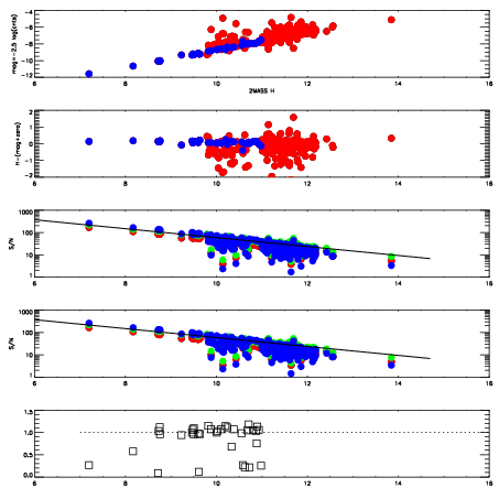
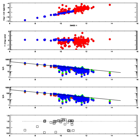
Left plots: red are targets, blue are telluric. Observed mags are calculated from median value of green chip. Zeropoint gives overall throughput: bigger number is more throughput.
First spatial plots: circles are objects, squares are tellurics, crosses are sky fibers. Colors give deviation of observed mag from expected 2MASS mag using the median zeropoint; red is brighter
Second spatial plots: circles are sky fibers. Colors give sky line brightness relative to plate median sky line brightness
FrameNreadsZeropointsMag plots Spatial mag deviation Spatial sky 16325A emission deviations (filled: sky, open: star) Spatial sky continuum emission Spatial sky telluric CO2 absorption deviations (filled: H < 10)
8310011 47
RedGreenBlue
z18.43
znorm14.25
sky 14.5 14.4 14.3
S/N 12.7 17.3 13.5
S/N(c) 10.8 4.6 3.6
SN(E/C) 0.99
8310012 47
RedGreenBlue
z18.64
znorm14.46
sky 14.3 14.4 14.4
S/N 14.4 19.7 15.3
S/N(c) 12.3 5.2 4.2
SN(E/C) 1.00