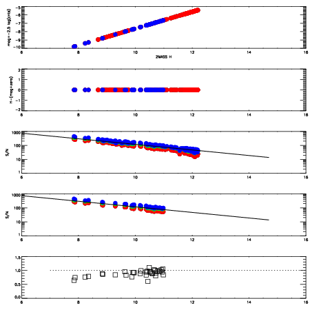
Left plots: red are targets, blue are telluric. Observed mags are calculated from median value of green chip. Zeropoint gives overall throughput: bigger number is more throughput.
First spatial plots: circles are objects, squares are tellurics, crosses are sky fibers. Colors give deviation of observed mag from expected 2MASS mag using the median zeropoint; red is brighter
Second spatial plots: circles are sky fibers. Colors give sky line brightness relative to plate median sky line brightness
FrameNreadsZeropointsMag plots Spatial mag deviation Spatial sky 16325A emission deviations (filled: sky, open: star) Spatial sky continuum emission Spatial sky telluric CO2 absorption deviations (filled: H < 10)
0 0
RedGreenBlue
z17.64
znorm Inf
sky -Inf -Inf -NaN
S/N 25.9 43.3 45.5
S/N(c) 0.0 0.0 0.0
SN(E/C) 0.92

IPAIRNAMESHIFTNEWSHIFTS/N NAMESHIFTNEWSHIFTS/N
0 05250028 0.489737 0.00000 18.9544 05250033 0.00224581 0.487491 18.9521
1 05250031 0.489357 0.000380009 19.0650 05250026 0.00000 0.489737 19.0353
2 05250032 0.489163 0.000573993 19.0401 05250029 -0.000188165 0.489925 19.0338
3 05250027 0.488708 0.00102901 19.0096 05250030 0.00178960 0.487947 19.0328