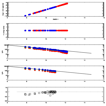
Left plots: red are targets, blue are telluric. Observed mags are calculated from median value of green chip. Zeropoint gives overall throughput: bigger number is more throughput.
First spatial plots: circles are objects, squares are tellurics, crosses are sky fibers. Colors give deviation of observed mag from expected 2MASS mag using the median zeropoint; red is brighter
Second spatial plots: circles are sky fibers. Colors give sky line brightness relative to plate median sky line brightness
FrameNreadsZeropointsMag plots Spatial mag deviation Spatial sky 16325A emission deviations (filled: sky, open: star) Spatial sky continuum emission Spatial sky telluric CO2 absorption deviations (filled: H < 10)
0 0
RedGreenBlue
z17.64
znorm Inf
sky -NaN -Inf -Inf
S/N 20.1 35.8 36.9
S/N(c) 0.0 0.0 0.0
SN(E/C) 0.95

IPAIRNAMESHIFTNEWSHIFTS/N NAMESHIFTNEWSHIFTS/N
0 05440043 0.484378 0.00000 18.6111 05440041 -0.00152326 0.485901 18.4759
1 05440046 0.482123 0.00225502 18.7117 05440045 -0.00157234 0.485950 18.6336
2 05440042 0.483439 0.000939012 18.6275 05440044 -0.000356340 0.484734 18.5613
3 05440039 0.482648 0.00173002 18.4906 05440040 -0.00246529 0.486843 18.4426
4 05440038 0.482867 0.00151101 18.3656 05440037 0.00000 0.484378 18.3403