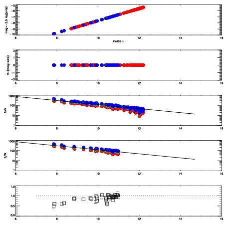
Left plots: red are targets, blue are telluric. Observed mags are calculated from median value of green chip. Zeropoint gives overall throughput: bigger number is more throughput.
First spatial plots: circles are objects, squares are tellurics, crosses are sky fibers. Colors give deviation of observed mag from expected 2MASS mag using the median zeropoint; red is brighter
Second spatial plots: circles are sky fibers. Colors give sky line brightness relative to plate median sky line brightness
FrameNreadsZeropointsMag plots Spatial mag deviation Spatial sky 16325A emission deviations (filled: sky, open: star) Spatial sky continuum emission Spatial sky telluric CO2 absorption deviations (filled: H < 10)
0 0
RedGreenBlue
z17.64
znorm Inf
sky -Inf -Inf -Inf
S/N 24.2 40.1 41.5
S/N(c) 0.0 0.0 0.0
SN(E/C) 0.92

IPAIRNAMESHIFTNEWSHIFTS/N NAMESHIFTNEWSHIFTS/N
0 06020017 0.490686 0.00000 18.7108 06020018 0.000766928 0.489919 18.7820
1 06020013 0.489834 0.000851989 19.0648 06020014 0.00269887 0.487987 19.0840
2 06020012 0.488574 0.00211200 19.0129 06020015 -0.00116776 0.491854 19.0761
3 06020016 0.490351 0.000335008 18.9827 06020011 0.00000 0.490686 18.9897