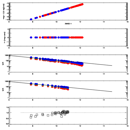
Left plots: red are targets, blue are telluric. Observed mags are calculated from median value of green chip. Zeropoint gives overall throughput: bigger number is more throughput.
First spatial plots: circles are objects, squares are tellurics, crosses are sky fibers. Colors give deviation of observed mag from expected 2MASS mag using the median zeropoint; red is brighter
Second spatial plots: circles are sky fibers. Colors give sky line brightness relative to plate median sky line brightness
FrameNreadsZeropointsMag plots Spatial mag deviation Spatial sky 16325A emission deviations (filled: sky, open: star) Spatial sky continuum emission Spatial sky telluric CO2 absorption deviations (filled: H < 10)
0 0
RedGreenBlue
z17.64
znorm Inf
sky -Inf -Inf -Inf
S/N 19.4 33.0 34.4
S/N(c) 0.0 0.0 0.0
SN(E/C) 0.98

IPAIRNAMESHIFTNEWSHIFTS/N NAMESHIFTNEWSHIFTS/N
0 06090016 0.479034 0.00000 18.5938 06090014 -0.000630035 0.479664 18.4834
1 06090015 0.478818 0.000216007 18.7159 06090010 0.00000 0.479034 18.6194
2 06090011 0.478186 0.000847995 18.7025 06090013 0.000245966 0.478788 18.4902
3 06090012 0.477799 0.00123501 18.5819 06090017 -0.00358519 0.482619 18.4325