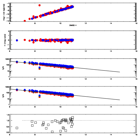
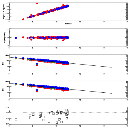
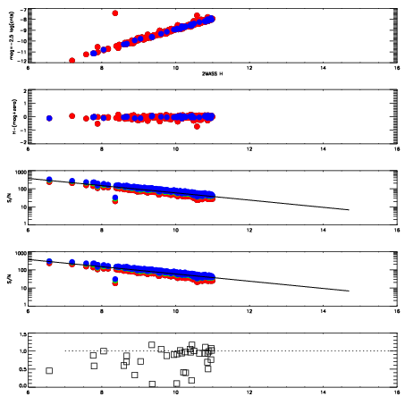
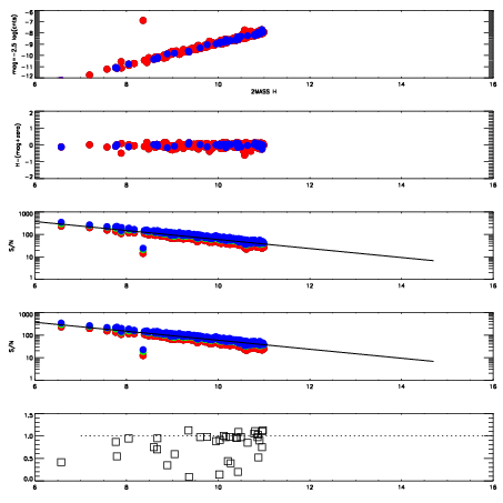
Frame | Nreads | Zeropoints | Mag plots
| Spatial mag deviation
| Spatial sky 16325A emission deviations (filled: sky, open: star)
| Spatial sky continuum emission
| Spatial sky telluric CO2 absorption deviations (filled: H < 10)
|
8440058
| 47
| | Red | Green | Blue
| z | | 18.91
| znorm | | 14.73
| sky | 14.5 | 14.2 | 14.1
| S/N | 17.2 | 24.4 | 26.0
| S/N(c) | 23.0 | 25.1 | 14.7
| SN(E/C) | 0.91
|
|
|
|
|
|
|
8440059
| 47
| | Red | Green | Blue
| z | | 18.90
| znorm | | 14.72
| sky | 14.3 | 14.2 | 14.4
| S/N | 17.2 | 24.5 | 26.2
| S/N(c) | 23.2 | 25.1 | 14.6
| SN(E/C) | 0.91
|
|
|
|
|
|
|
8440060
| 47
| | Red | Green | Blue
| z | | 18.92
| znorm | | 14.74
| sky | 14.5 | 14.3 | 14.3
| S/N | 17.4 | 24.9 | 26.3
| S/N(c) | 23.4 | 25.2 | 14.9
| SN(E/C) | 0.94
|
|
|
|
|
|
|
8440061
| 47
| | Red | Green | Blue
| z | | 18.89
| znorm | | 14.71
| sky | 14.5 | 14.2 | 14.4
| S/N | 17.1 | 24.6 | 26.1
| S/N(c) | 23.0 | 25.1 | 14.8
| SN(E/C) | 0.92
|
|
|
|
|
|
|
8440062
| 47
| | Red | Green | Blue
| z | | 18.93
| znorm | | 14.75
| sky | 14.4 | 14.3 | 14.4
| S/N | 17.5 | 25.0 | 26.7
| S/N(c) | 23.6 | 25.4 | 15.0
| SN(E/C) | 0.92
|
|
|
|
|
|
|
8440063
| 47
| | Red | Green | Blue
| z | | 18.91
| znorm | | 14.73
| sky | 14.4 | 14.3 | 14.4
| S/N | 17.3 | 24.6 | 26.5
| S/N(c) | 23.0 | 25.1 | 14.8
| SN(E/C) | 0.91
|
|
|
|
|
|
|
8440064
| 47
| | Red | Green | Blue
| z | | 18.94
| znorm | | 14.76
| sky | 14.3 | 14.2 | 14.3
| S/N | 17.6 | 25.2 | 27.0
| S/N(c) | 23.4 | 25.3 | 15.1
| SN(E/C) | 0.92
|
|
|
|
|
|
|
8440065
| 47
| | Red | Green | Blue
| z | | 19.00
| znorm | | 14.82
| sky | 14.3 | 14.3 | 14.3
| S/N | 18.1 | 25.8 | 27.6
| S/N(c) | 24.3 | 26.1 | 15.5
| SN(E/C) | 0.89
|
|
|
|
|
|
|