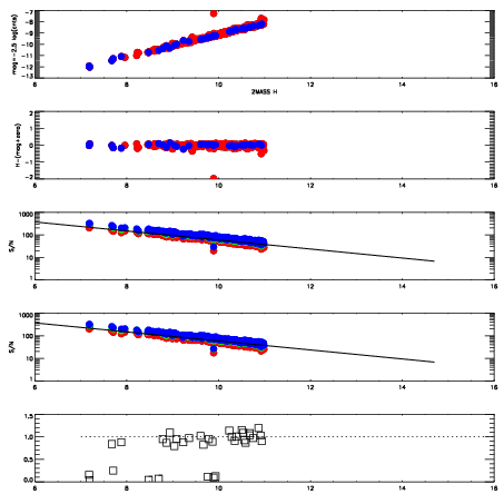
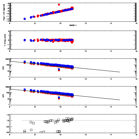
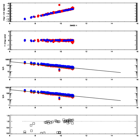
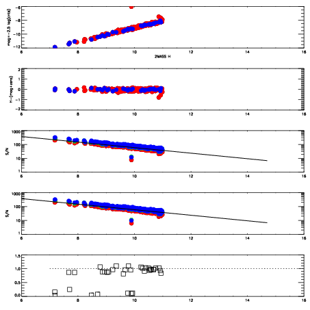
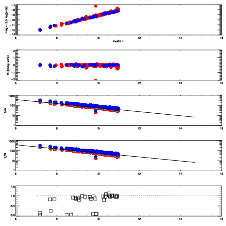
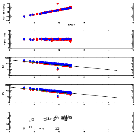
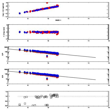
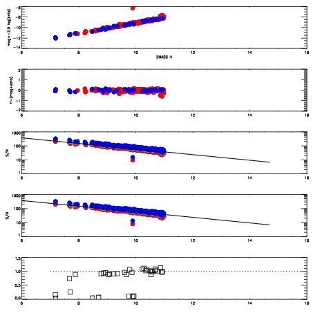
Frame | Nreads | Zeropoints | Mag plots
| Spatial mag deviation
| Spatial sky 16325A emission deviations (filled: sky, open: star)
| Spatial sky continuum emission
| Spatial sky telluric CO2 absorption deviations (filled: H < 10)
|
5230047
| 47
| | Red | Green | Blue
| z | | 19.12
| znorm | | 14.94
| sky | 13.6 | 13.4 | 13.3
| S/N | 18.9 | 26.0 | 26.5
| S/N(c) | 23.1 | 29.9 | 6.6
| SN(E/C) | 0.93
|
|
|
|
|
|
|
5230048
| 47
| | Red | Green | Blue
| z | | 19.13
| znorm | | 14.95
| sky | 13.6 | 13.5 | 13.5
| S/N | 18.9 | 26.0 | 26.7
| S/N(c) | 23.0 | 30.1 | 6.6
| SN(E/C) | 0.94
|
|
|
|
|
|
|
5230049
| 47
| | Red | Green | Blue
| z | | 19.16
| znorm | | 14.98
| sky | 13.6 | 13.5 | 13.6
| S/N | 19.2 | 26.3 | 27.4
| S/N(c) | 23.2 | 30.6 | 6.7
| SN(E/C) | 0.93
|
|
|
|
|
|
|
5230050
| 47
| | Red | Green | Blue
| z | | 19.18
| znorm | | 15.00
| sky | 13.6 | 13.5 | 13.6
| S/N | 19.5 | 26.7 | 27.8
| S/N(c) | 23.6 | 30.9 | 6.8
| SN(E/C) | 0.92
|
|
|
|
|
|
|
5230051
| 47
| | Red | Green | Blue
| z | | 19.19
| znorm | | 15.01
| sky | 13.6 | 13.6 | 13.6
| S/N | 19.5 | 27.1 | 28.6
| S/N(c) | 23.7 | 31.0 | 6.8
| SN(E/C) | 0.94
|
|
|
|
|
|
|
5230052
| 47
| | Red | Green | Blue
| z | | 19.17
| znorm | | 14.99
| sky | 13.6 | 13.6 | 13.7
| S/N | 19.0 | 26.8 | 28.1
| S/N(c) | 23.5 | 30.7 | 6.8
| SN(E/C) | 0.96
|
|
|
|
|
|
|
5230053
| 47
| | Red | Green | Blue
| z | | 19.16
| znorm | | 14.98
| sky | 13.7 | 13.7 | 13.7
| S/N | 19.1 | 26.7 | 28.1
| S/N(c) | 23.2 | 30.5 | 6.8
| SN(E/C) | 0.91
|
|
|
|
|
|
|
5230054
| 47
| | Red | Green | Blue
| z | | 19.13
| znorm | | 14.95
| sky | 13.6 | 13.7 | 13.7
| S/N | 18.8 | 26.2 | 27.6
| S/N(c) | 23.0 | 30.1 | 6.7
| SN(E/C) | 0.91
|
|
|
|
|
|
|