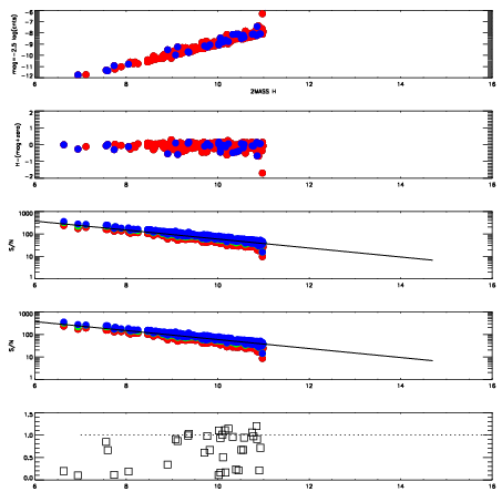
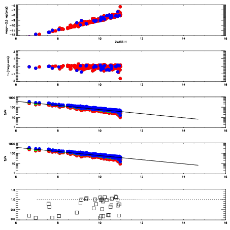
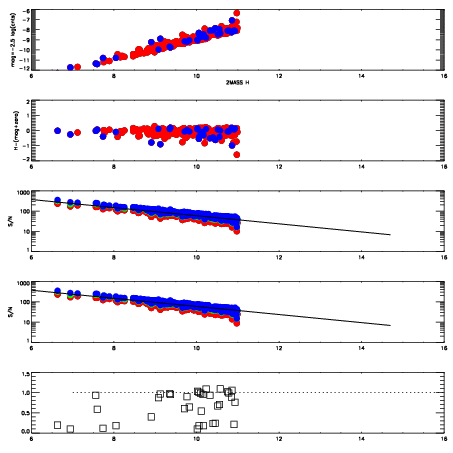
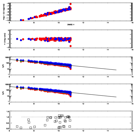
Frame | Nreads | Zeropoints | Mag plots
| Spatial mag deviation
| Spatial sky 16325A emission deviations (filled: sky, open: star)
| Spatial sky continuum emission
| Spatial sky telluric CO2 absorption deviations (filled: H < 10)
|
5220040
| 47
| | Red | Green | Blue
| z | | 18.92
| znorm | | 14.74
| sky | 13.5 | 13.3 | 13.3
| S/N | 16.7 | 23.4 | 24.4
| S/N(c) | 15.0 | 18.6 | 12.1
| SN(E/C) | 0.77
|
|
|
|
|
|
|
5220041
| 47
| | Red | Green | Blue
| z | | 18.93
| znorm | | 14.75
| sky | 13.5 | 13.4 | 13.4
| S/N | 16.5 | 23.2 | 24.6
| S/N(c) | 15.1 | 18.8 | 12.1
| SN(E/C) | 0.76
|
|
|
|
|
|
|
5220042
| 47
| | Red | Green | Blue
| z | | 18.94
| znorm | | 14.76
| sky | 13.5 | 13.4 | 13.4
| S/N | 17.0 | 24.0 | 24.9
| S/N(c) | 15.1 | 19.1 | 12.3
| SN(E/C) | 0.76
|
|
|
|
|
|
|
5220043
| 47
| | Red | Green | Blue
| z | | 18.86
| znorm | | 14.68
| sky | 13.5 | 13.4 | 13.4
| S/N | 16.0 | 22.8 | 24.0
| S/N(c) | 14.6 | 18.2 | 11.9
| SN(E/C) | 0.73
|
|
|
|
|
|
|
5220044
| 47
| | Red | Green | Blue
| z | | 18.95
| znorm | | 14.77
| sky | 13.6 | 13.4 | 13.5
| S/N | 17.1 | 24.0 | 25.4
| S/N(c) | 15.1 | 19.1 | 12.4
| SN(E/C) | 0.71
|
|
|
|
|
|
|
5220045
| 47
| | Red | Green | Blue
| z | | 18.94
| znorm | | 14.76
| sky | 13.6 | 13.5 | 13.4
| S/N | 17.3 | 24.5 | 25.5
| S/N(c) | 15.1 | 19.1 | 12.5
| SN(E/C) | 0.71
|
|
|
|
|
|
|
5220046
| 47
| | Red | Green | Blue
| z | | 18.90
| znorm | | 14.72
| sky | 13.5 | 13.4 | 13.4
| S/N | 16.8 | 24.2 | 25.3
| S/N(c) | 14.8 | 18.9 | 12.1
| SN(E/C) | 0.79
|
|
|
|
|
|
|
5220047
| 47
| | Red | Green | Blue
| z | | 18.89
| znorm | | 14.71
| sky | 13.6 | 13.5 | 13.5
| S/N | 16.7 | 24.2 | 24.9
| S/N(c) | 14.8 | 18.7 | 12.2
| SN(E/C) | 0.80
|
|
|
|
|
|
|