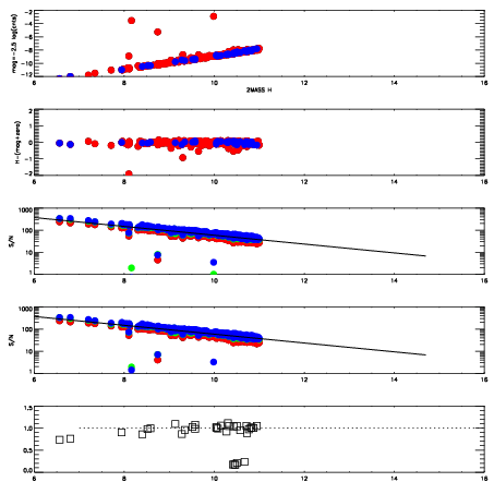
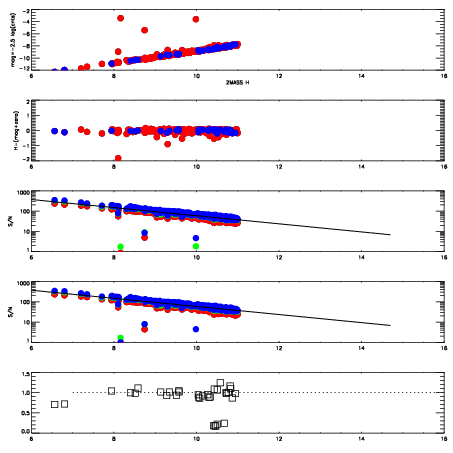
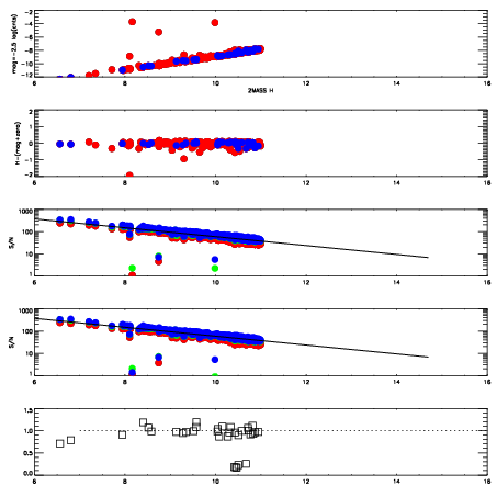
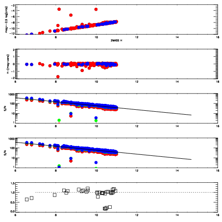
Left plots: red are targets, blue are telluric. Observed mags are calculated from median value of green chip. Zeropoint gives overall throughput: bigger number is more throughput.
First spatial plots: circles are objects, squares are tellurics, crosses are sky fibers. Colors give deviation of observed mag from expected 2MASS mag using the median zeropoint; red is brighter
Second spatial plots: circles are sky fibers. Colors give sky line brightness relative to plate median sky line brightness
FrameNreadsZeropointsMag plots Spatial mag deviation Spatial sky 16325A emission deviations (filled: sky, open: star) Spatial sky continuum emission Spatial sky telluric CO2 absorption deviations (filled: H < 10)
12020045 47
RedGreenBlue
z18.91
znorm14.73
sky 14.1 13.7 13.8
S/N 16.6 23.4 23.6
S/N(c) 23.2 26.3 20.0
SN(E/C) 0.97
12020046 47
RedGreenBlue
z18.87
znorm14.69
sky 14.0 13.8 14.0
S/N 16.1 22.8 23.6
S/N(c) 22.7 25.7 19.8
SN(E/C) 0.97
12020047 47
RedGreenBlue
z18.92
znorm14.74
sky 14.0 13.9 13.9
S/N 16.6 23.3 24.5
S/N(c) 23.1 26.2 20.2
SN(E/C) 0.99
12020048 47
RedGreenBlue
z18.82
znorm14.64
sky 14.0 14.1 14.0
S/N 15.6 22.4 23.4
S/N(c) 22.1 25.0 19.3
SN(E/C) 1.00