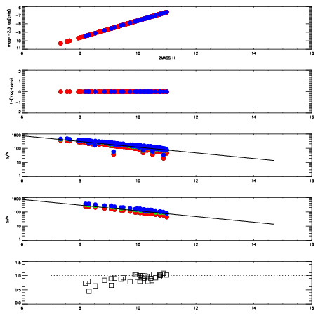
Left plots: red are targets, blue are telluric. Observed mags are calculated from median value of green chip. Zeropoint gives overall throughput: bigger number is more throughput.
First spatial plots: circles are objects, squares are tellurics, crosses are sky fibers. Colors give deviation of observed mag from expected 2MASS mag using the median zeropoint; red is brighter
Second spatial plots: circles are sky fibers. Colors give sky line brightness relative to plate median sky line brightness
FrameNreadsZeropointsMag plots Spatial mag deviation Spatial sky 16325A emission deviations (filled: sky, open: star) Spatial sky continuum emission Spatial sky telluric CO2 absorption deviations (filled: H < 10)
0 0
RedGreenBlue
z17.64
znorm Inf
sky -Inf -Inf -Inf
S/N 35.9 50.5 51.7
S/N(c) 0.0 0.0 0.0
SN(E/C) 0.92

IPAIRNAMESHIFTNEWSHIFTS/N NAMESHIFTNEWSHIFTS/N
0 12520064 0.492820 0.00000 18.8880 12520063 -0.00250533 0.495325 18.9188
1 12520065 0.491676 0.00114399 19.1309 12520066 -0.000762621 0.493583 19.1344
2 12520061 0.489939 0.00288099 19.0400 12520062 -0.00339722 0.496217 19.0621
3 12520060 0.489280 0.00354001 18.9478 12520059 0.00000 0.492820 18.9338