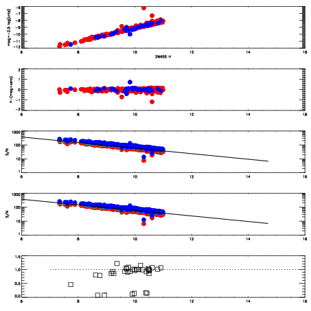
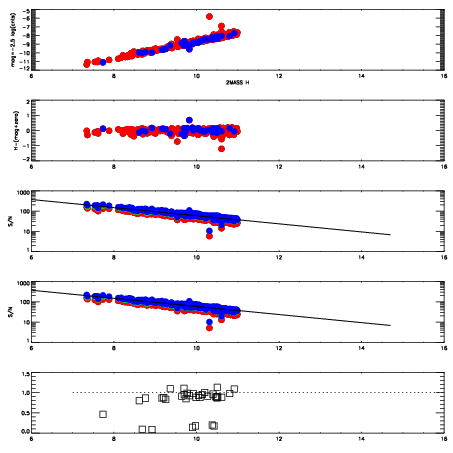
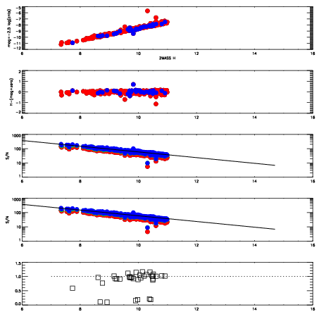
Frame | Nreads | Zeropoints | Mag plots
| Spatial mag deviation
| Spatial sky 16325A emission deviations (filled: sky, open: star)
| Spatial sky continuum emission
| Spatial sky telluric CO2 absorption deviations (filled: H < 10)
|
12500037
| 47
| | Red | Green | Blue
| z | | 18.71
| znorm | | 14.53
| sky | 14.1 | 13.9 | 13.9
| S/N | 15.5 | 22.2 | 23.3
| S/N(c) | 20.1 | 20.7 | 22.0
| SN(E/C) | 0.89
|
|
|
|
|
|
|
12500038
| 47
| | Red | Green | Blue
| z | | 18.53
| znorm | | 14.35
| sky | 14.1 | 13.9 | 14.3
| S/N | 13.8 | 20.3 | 21.1
| S/N(c) | 18.1 | 18.9 | 20.1
| SN(E/C) | 0.96
|
|
|
|
|
|
|
12500039
| 47
| | Red | Green | Blue
| z | | 19.10
| znorm | | 14.91
| sky | 13.9 | 13.9 | 14.0
| S/N | 19.3 | 26.9 | 28.1
| S/N(c) | 24.5 | 25.0 | 26.6
| SN(E/C) | 0.96
|
|
|
|
|
|
|
12500040
| 47
| | Red | Green | Blue
| z | | 19.07
| znorm | | 14.89
| sky | 14.1 | 14.0 | 14.0
| S/N | 19.2 | 26.5 | 27.6
| S/N(c) | 24.3 | 24.9 | 26.4
| SN(E/C) | 0.95
|
|
|
|
|
|
|
12500041
| 47
| | Red | Green | Blue
| z | | 19.08
| znorm | | 14.90
| sky | 14.0 | 14.0 | 14.1
| S/N | 19.3 | 26.5 | 27.6
| S/N(c) | 24.6 | 25.0 | 26.5
| SN(E/C) | 0.99
|
|
|
|
|
|
|
12500042
| 47
| | Red | Green | Blue
| z | | 19.12
| znorm | | 14.94
| sky | 14.1 | 14.0 | 14.1
| S/N | 19.6 | 27.2 | 28.3
| S/N(c) | 24.9 | 25.6 | 27.1
| SN(E/C) | 0.95
|
|
|
|
|
|
|
12500043
| 47
| | Red | Green | Blue
| z | | 19.11
| znorm | | 14.93
| sky | 14.0 | 14.0 | 14.1
| S/N | 19.8 | 27.2 | 28.5
| S/N(c) | 24.8 | 25.5 | 26.8
| SN(E/C) | 0.94
|
|
|
|
|
|
|
12500044
| 47
| | Red | Green | Blue
| z | | 19.09
| znorm | | 14.91
| sky | 13.9 | 14.0 | 14.0
| S/N | 19.3 | 26.7 | 28.2
| S/N(c) | 24.6 | 25.3 | 26.7
| SN(E/C) | 0.97
|
|
|
|
|
|
|