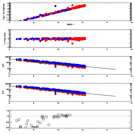
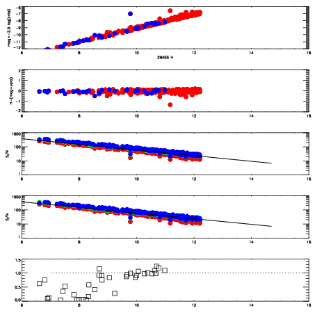
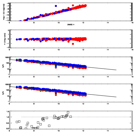
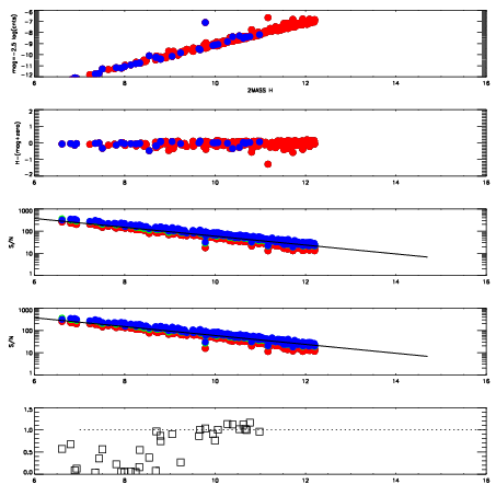
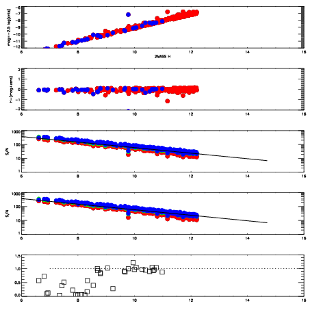
Frame | Nreads | Zeropoints | Mag plots
| Spatial mag deviation
| Spatial sky 16325A emission deviations (filled: sky, open: star)
| Spatial sky continuum emission
| Spatial sky telluric CO2 absorption deviations (filled: H < 10)
|
5200058
| 47
| | Red | Green | Blue
| z | | 19.08
| znorm | | 14.90
| sky | 13.8 | 13.7 | 13.8
| S/N | 16.2 | 24.6 | 25.9
| S/N(c) | 27.2 | 26.7 | 22.6
| SN(E/C) | 0.80
|
|
|
|
|
|
|
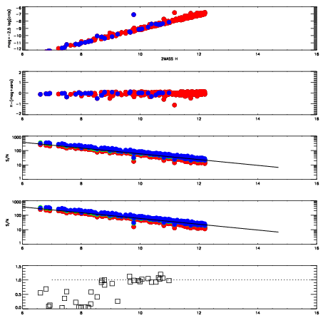
5200059
| 47
| | Red | Green | Blue
| z | | 19.10
| znorm | | 14.92
| sky | 13.7 | 13.7 | 13.8
| S/N | 16.7 | 25.2 | 26.5
| S/N(c) | 27.3 | 26.5 | 23.1
| SN(E/C) | 0.82
|
|
|
|
|
|
|
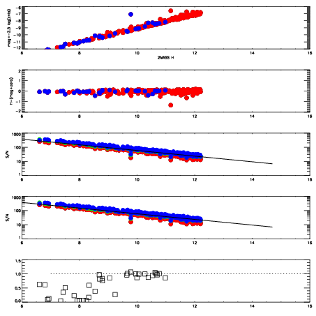
5200060
| 47
| | Red | Green | Blue
| z | | 19.11
| znorm | | 14.93
| sky | 13.7 | 13.7 | 13.7
| S/N | 16.3 | 25.2 | 26.8
| S/N(c) | 27.6 | 26.4 | 23.2
| SN(E/C) | 0.74
|
|
|
|
|
|
|
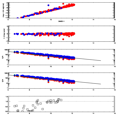
5200061
| 47
| | Red | Green | Blue
| z | | 19.10
| znorm | | 14.92
| sky | 13.7 | 13.7 | 13.8
| S/N | 16.3 | 25.1 | 26.7
| S/N(c) | 27.6 | 26.6 | 23.2
| SN(E/C) | 0.83
|
|
|
|
|
|
|
5200062
| 47
| | Red | Green | Blue
| z | | 19.08
| znorm | | 14.90
| sky | 13.8 | 13.6 | 13.7
| S/N | 16.4 | 25.0 | 26.4
| S/N(c) | 27.7 | 25.9 | 23.1
| SN(E/C) | 0.85
|
|
|
|
|
|
|
5200063
| 47
| | Red | Green | Blue
| z | | 19.10
| znorm | | 14.92
| sky | 13.7 | 13.7 | 13.7
| S/N | 16.3 | 25.4 | 26.7
| S/N(c) | 28.0 | 26.2 | 23.4
| SN(E/C) | 0.87
|
|
|
|
|
|
|
5200064
| 47
| | Red | Green | Blue
| z | | 19.13
| znorm | | 14.95
| sky | 13.7 | 13.8 | 13.7
| S/N | 16.6 | 25.8 | 27.2
| S/N(c) | 28.4 | 26.7 | 23.8
| SN(E/C) | 0.81
|
|
|
|
|
|
|
5200065
| 47
| | Red | Green | Blue
| z | | 19.11
| znorm | | 14.93
| sky | 13.8 | 13.8 | 13.7
| S/N | 16.5 | 25.3 | 26.6
| S/N(c) | 28.0 | 26.4 | 23.4
| SN(E/C) | 0.89
|
|
|
|
|
|
|