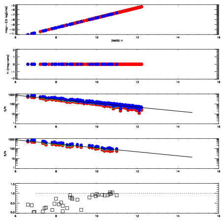
Left plots: red are targets, blue are telluric. Observed mags are calculated from median value of green chip. Zeropoint gives overall throughput: bigger number is more throughput.
First spatial plots: circles are objects, squares are tellurics, crosses are sky fibers. Colors give deviation of observed mag from expected 2MASS mag using the median zeropoint; red is brighter
Second spatial plots: circles are sky fibers. Colors give sky line brightness relative to plate median sky line brightness
FrameNreadsZeropointsMag plots Spatial mag deviation Spatial sky 16325A emission deviations (filled: sky, open: star) Spatial sky continuum emission Spatial sky telluric CO2 absorption deviations (filled: H < 10)
0 0
RedGreenBlue
z17.64
znorm Inf
sky -NaN -NaN -Inf
S/N 27.3 44.3 46.7
S/N(c) 0.0 0.0 0.0
SN(E/C) 0.72

IPAIRNAMESHIFTNEWSHIFTS/N NAMESHIFTNEWSHIFTS/N
0 06100016 0.487154 0.00000 18.9271 06100017 0.00310953 0.484044 18.9108
1 06100015 0.486554 0.000600010 19.0627 06100014 0.00377362 0.483380 19.0391
2 06100012 0.485589 0.00156501 19.0274 06100013 0.00410038 0.483054 19.0147
3 06100011 0.484677 0.00247702 18.9984 06100010 0.00000 0.487154 18.9712