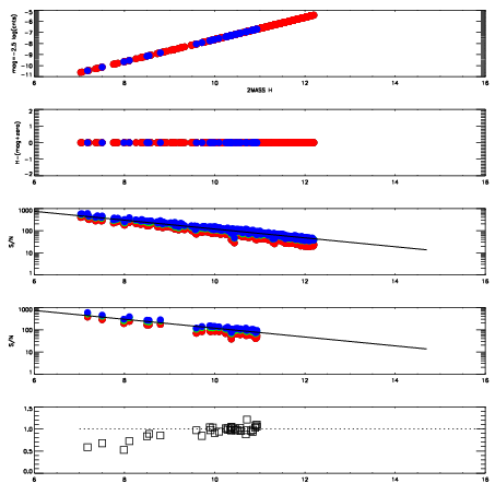
Left plots: red are targets, blue are telluric. Observed mags are calculated from median value of green chip. Zeropoint gives overall throughput: bigger number is more throughput.
First spatial plots: circles are objects, squares are tellurics, crosses are sky fibers. Colors give deviation of observed mag from expected 2MASS mag using the median zeropoint; red is brighter
Second spatial plots: circles are sky fibers. Colors give sky line brightness relative to plate median sky line brightness
FrameNreadsZeropointsMag plots Spatial mag deviation Spatial sky 16325A emission deviations (filled: sky, open: star) Spatial sky continuum emission Spatial sky telluric CO2 absorption deviations (filled: H < 10)
0 0
RedGreenBlue
z17.64
znorm Inf
sky -Inf -Inf -NaN
S/N 24.6 40.6 42.0
S/N(c) 0.0 0.0 0.0
SN(E/C) 0.97

IPAIRNAMESHIFTNEWSHIFTS/N NAMESHIFTNEWSHIFTS/N
0 04880061 0.496652 0.00000 18.7878 04880059 0.00000 0.496652 18.7354
1 04880060 0.493099 0.00355300 18.8796 04880063 0.000443212 0.496209 18.8323
2 04880065 0.493319 0.00333300 18.8667 04880062 -0.000598656 0.497251 18.8135
3 04880064 0.493279 0.00337300 18.8336 04880066 0.00130915 0.495343 18.8128