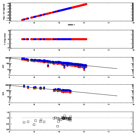
Left plots: red are targets, blue are telluric. Observed mags are calculated from median value of green chip. Zeropoint gives overall throughput: bigger number is more throughput.
First spatial plots: circles are objects, squares are tellurics, crosses are sky fibers. Colors give deviation of observed mag from expected 2MASS mag using the median zeropoint; red is brighter
Second spatial plots: circles are sky fibers. Colors give sky line brightness relative to plate median sky line brightness
FrameNreadsZeropointsMag plots Spatial mag deviation Spatial sky 16325A emission deviations (filled: sky, open: star) Spatial sky continuum emission Spatial sky telluric CO2 absorption deviations (filled: H < 10)
0 0
RedGreenBlue
z17.64
znorm Inf
sky -Inf -NaN -Inf
S/N 25.4 42.4 45.2
S/N(c) 0.0 0.0 0.0
SN(E/C) 0.94

IPAIRNAMESHIFTNEWSHIFTS/N NAMESHIFTNEWSHIFTS/N
0 09770017 0.512920 0.00000 19.0400 09770018 0.00135941 0.511561 19.0333
1 09770021 0.511824 0.00109601 19.0784 09770019 0.000520441 0.512400 19.0661
2 09770020 0.510793 0.00212705 19.0673 09770022 -0.00163277 0.514553 19.0636
3 09770016 0.512554 0.000366032 19.0149 09770015 0.00000 0.512920 19.0088