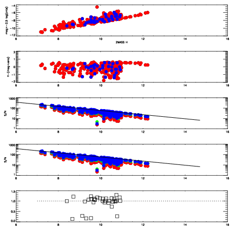
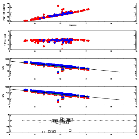
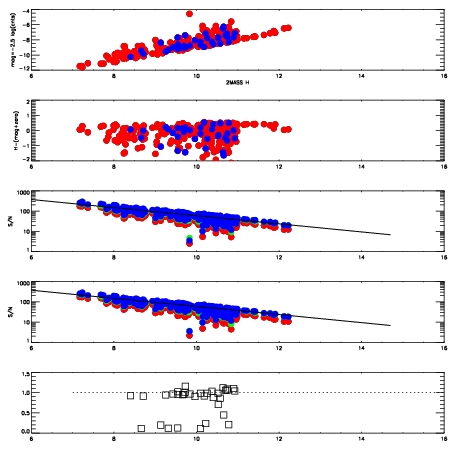
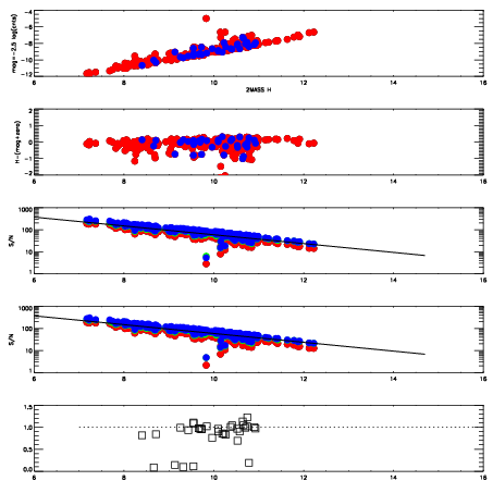
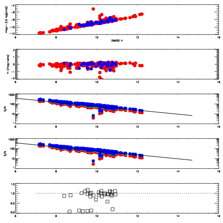
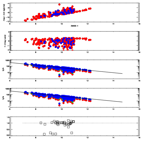
Frame | Nreads | Zeropoints | Mag plots
| Spatial mag deviation
| Spatial sky 16325A emission deviations (filled: sky, open: star)
| Spatial sky continuum emission
| Spatial sky telluric CO2 absorption deviations (filled: H < 10)
|
12500052
| 47
| | Red | Green | Blue
| z | | 19.06
| znorm | | 14.88
| sky | 14.0 | 13.8 | 13.7
| S/N | 15.6 | 24.1 | 24.9
| S/N(c) | 19.7 | 27.0 | 19.1
| SN(E/C) | 0.94
|
|
|
|
|
|
|
12500053
| 47
| | Red | Green | Blue
| z | | 18.93
| znorm | | 14.75
| sky | 14.2 | 13.8 | 13.8
| S/N | 15.5 | 24.0 | 25.1
| S/N(c) | 18.0 | 25.4 | 18.1
| SN(E/C) | 0.94
|
|
|
|
|
|
|
12500054
| 47
| | Red | Green | Blue
| z | | 18.93
| znorm | | 14.75
| sky | 14.0 | 13.8 | 13.8
| S/N | 15.3 | 24.3 | 25.1
| S/N(c) | 18.0 | 25.4 | 18.1
| SN(E/C) | 0.96
|
|
|
|
|
|
|
12500055
| 47
| | Red | Green | Blue
| z | | 18.76
| znorm | | 14.58
| sky | 14.1 | 13.9 | 13.8
| S/N | 14.5 | 22.7 | 23.7
| S/N(c) | 16.6 | 23.3 | 16.9
| SN(E/C) | 0.96
|
|
|
|
|
|
|
12500056
| 47
| | Red | Green | Blue
| z | | 18.72
| znorm | | 14.54
| sky | 14.0 | 13.9 | 13.9
| S/N | 14.8 | 23.8 | 24.5
| S/N(c) | 16.3 | 23.5 | 16.9
| SN(E/C) | 0.99
|
|
|
|
|
|
|
12500057
| 47
| | Red | Green | Blue
| z | | 18.57
| znorm | | 14.39
| sky | 14.0 | 13.9 | 13.8
| S/N | 14.0 | 22.7 | 23.5
| S/N(c) | 14.7 | 21.4 | 15.2
| SN(E/C) | 0.94
|
|
|
|
|
|
|
12500058
| 47
| | Red | Green | Blue
| z | | 18.34
| znorm | | 14.16
| sky | 14.2 | 13.9 | 13.8
| S/N | 13.1 | 21.1 | 22.0
| S/N(c) | 12.7 | 19.3 | 13.4
| SN(E/C) | 0.99
|
|
|
|
|
|
|
12500059
| 47
| | Red | Green | Blue
| z | | 17.97
| znorm | | 13.79
| sky | 14.1 | 13.9 | 13.9
| S/N | 10.4 | 16.9 | 17.9
| S/N(c) | 10.5 | 16.0 | 11.4
| SN(E/C) | 1.01
|
|
|
|
|
|
|