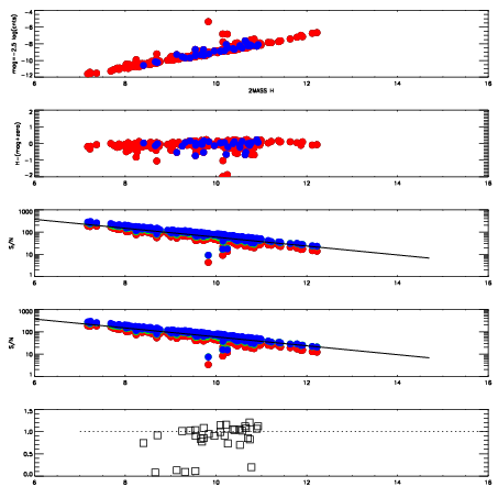
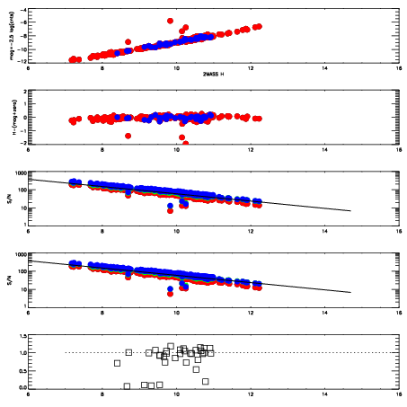
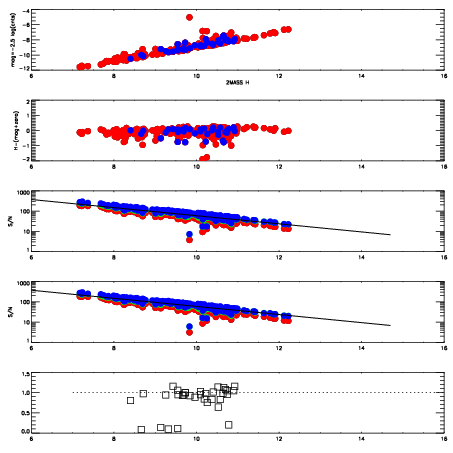
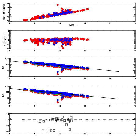
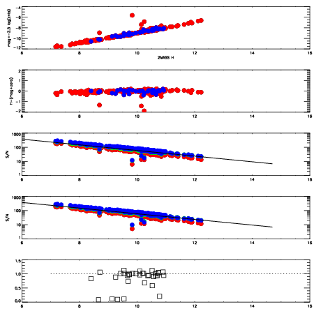
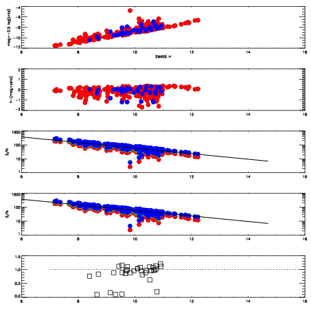
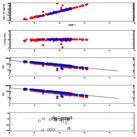
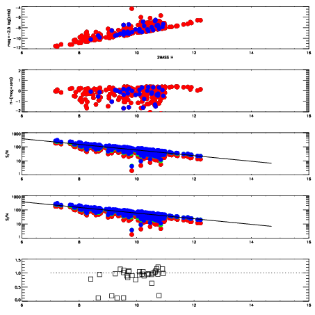
Frame | Nreads | Zeropoints | Mag plots
| Spatial mag deviation
| Spatial sky 16325A emission deviations (filled: sky, open: star)
| Spatial sky continuum emission
| Spatial sky telluric CO2 absorption deviations (filled: H < 10)
|
12510035
| 47
| | Red | Green | Blue
| z | | 18.80
| znorm | | 14.62
| sky | 14.0 | 14.0 | 14.2
| S/N | 13.1 | 20.9 | 21.7
| S/N(c) | 17.6 | 25.1 | 17.5
| SN(E/C) | 0.94
|
|
|
|
|
|
|
12510036
| 47
| | Red | Green | Blue
| z | | 18.81
| znorm | | 14.63
| sky | 14.0 | 14.1 | 14.3
| S/N | 13.3 | 21.2 | 22.2
| S/N(c) | 18.0 | 24.8 | 17.8
| SN(E/C) | 0.94
|
|
|
|
|
|
|
12510037
| 47
| | Red | Green | Blue
| z | | 18.96
| znorm | | 14.78
| sky | 14.0 | 14.0 | 14.2
| S/N | 14.7 | 23.6 | 23.8
| S/N(c) | 18.9 | 26.5 | 18.6
| SN(E/C) | 0.97
|
|
|
|
|
|
|
12510038
| 47
| | Red | Green | Blue
| z | | 18.96
| znorm | | 14.78
| sky | 14.1 | 14.0 | 14.2
| S/N | 14.9 | 23.8 | 23.4
| S/N(c) | 19.1 | 27.1 | 18.8
| SN(E/C) | 0.95
|
|
|
|
|
|
|
12510039
| 47
| | Red | Green | Blue
| z | | 18.98
| znorm | | 14.80
| sky | 14.2 | 14.1 | 14.1
| S/N | 15.3 | 24.3 | 24.3
| S/N(c) | 19.0 | 27.3 | 19.0
| SN(E/C) | 0.91
|
|
|
|
|
|
|
12510040
| 47
| | Red | Green | Blue
| z | | 18.96
| znorm | | 14.78
| sky | 14.0 | 14.1 | 14.2
| S/N | 14.9 | 24.2 | 24.0
| S/N(c) | 18.5 | 26.3 | 18.8
| SN(E/C) | 0.91
|
|
|
|
|
|
|
12510041
| 47
| | Red | Green | Blue
| z | | 18.87
| znorm | | 14.69
| sky | 14.1 | 14.0 | 14.1
| S/N | 14.6 | 23.6 | 23.8
| S/N(c) | 17.8 | 25.5 | 17.9
| SN(E/C) | 0.95
|
|
|
|
|
|
|
12510042
| 47
| | Red | Green | Blue
| z | | 18.87
| znorm | | 14.69
| sky | 14.0 | 14.0 | 14.1
| S/N | 15.4 | 24.2 | 25.1
| S/N(c) | 17.7 | 24.8 | 17.8
| SN(E/C) | 0.93
|
|
|
|
|
|
|
12510043
| 47
| | Red | Green | Blue
| z | | 18.79
| znorm | | 14.61
| sky | 14.0 | 14.0 | 14.0
| S/N | 15.1 | 24.1 | 24.2
| S/N(c) | 17.0 | 24.4 | 17.3
| SN(E/C) | 0.96
|
|
|
|
|
|
|
12510044
| 47
| | Red | Green | Blue
| z | | 18.69
| znorm | | 14.51
| sky | 14.1 | 14.0 | 14.1
| S/N | 14.6 | 23.6 | 23.7
| S/N(c) | 15.7 | 23.1 | 16.3
| SN(E/C) | 0.95
|
|
|
|
|
|
|