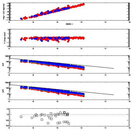
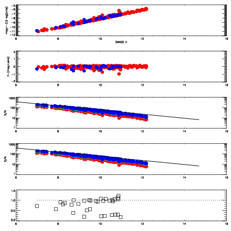
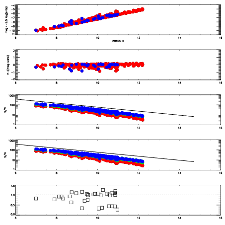
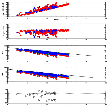
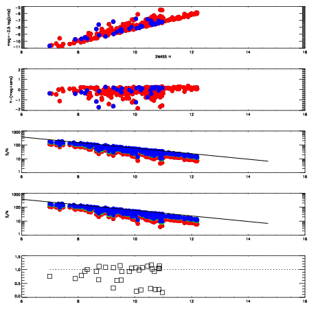
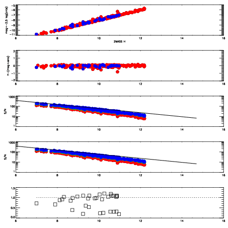
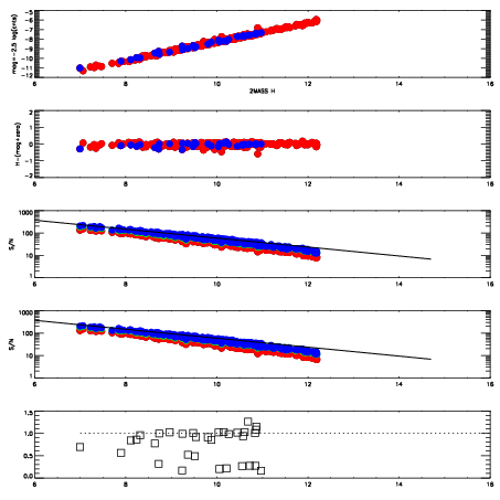
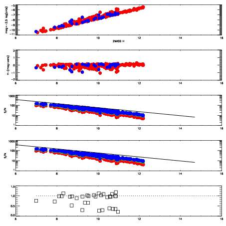
Frame | Nreads | Zeropoints | Mag plots
| Spatial mag deviation
| Spatial sky 16325A emission deviations (filled: sky, open: star)
| Spatial sky continuum emission
| Spatial sky telluric CO2 absorption deviations (filled: H < 10)
|
12490042
| 47
| | Red | Green | Blue
| z | | 18.30
| znorm | | 14.12
| sky | 14.1 | 13.9 | 13.9
| S/N | 8.7 | 14.4 | 14.7
| S/N(c) | 13.8 | 16.4 | 14.1
| SN(E/C) | 0.91
|
|
|
|
|
|
|
12490043
| 47
| | Red | Green | Blue
| z | | 18.01
| znorm | | 13.83
| sky | 14.2 | 14.0 | 14.3
| S/N | 6.9 | 12.2 | 12.9
| S/N(c) | 11.5 | 14.0 | 12.2
| SN(E/C) | 0.96
|
|
|
|
|
|
|
12490044
| 47
| | Red | Green | Blue
| z | | 18.15
| znorm | | 13.97
| sky | 14.2 | 14.1 | 14.3
| S/N | 7.6 | 13.2 | 14.4
| S/N(c) | 12.4 | 14.9 | 12.8
| SN(E/C) | 0.89
|
|
|
|
|
|
|
12490045
| 47
| | Red | Green | Blue
| z | | 17.69
| znorm | | 13.51
| sky | 14.1 | 14.1 | 14.5
| S/N | 5.7 | 9.9 | 10.5
| S/N(c) | 8.9 | 11.6 | 9.8
| SN(E/C) | 0.93
|
|
|
|
|
|
|
12490046
| 47
| | Red | Green | Blue
| z | | 17.23
| znorm | | 13.05
| sky | 14.3 | 14.1 | 14.5
| S/N | 3.8 | 7.4 | 7.8
| S/N(c) | 6.4 | 8.9 | 7.3
| SN(E/C) | 0.98
|
|
|
|
|
|
|
12490047
| 47
| | Red | Green | Blue
| z | | 17.65
| znorm | | 13.47
| sky | 14.2 | 14.1 | 14.4
| S/N | 5.7 | 9.6 | 10.7
| S/N(c) | 8.5 | 11.1 | 9.3
| SN(E/C) | 0.97
|
|
|
|
|
|
|
12490048
| 47
| | Red | Green | Blue
| z | | 18.02
| znorm | | 13.84
| sky | 14.0 | 14.1 | 14.3
| S/N | 8.1 | 13.1 | 14.7
| S/N(c) | 9.8 | 12.9 | 11.1
| SN(E/C) | 0.93
|
|
|
|
|
|
|
12490049
| 47
| | Red | Green | Blue
| z | | 17.78
| znorm | | 13.60
| sky | 14.2 | 14.1 | 14.2
| S/N | 6.9 | 11.9 | 13.4
| S/N(c) | 8.6 | 11.3 | 9.8
| SN(E/C) | 0.95
|
|
|
|
|
|
|