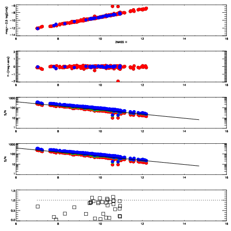
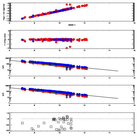
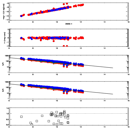
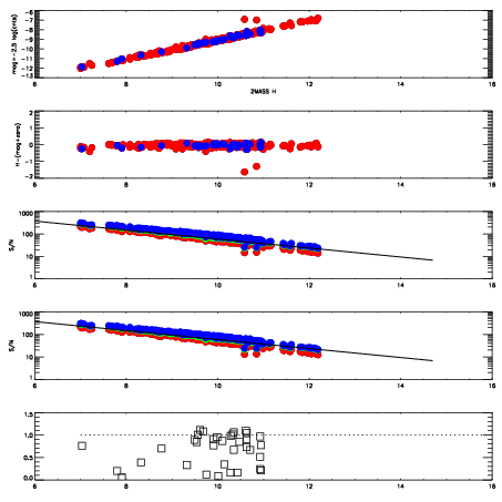
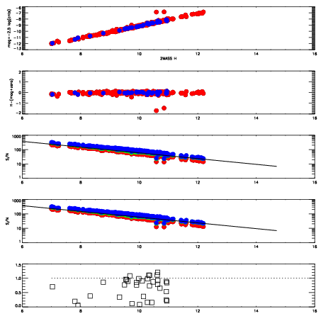
Frame | Nreads | Zeropoints | Mag plots
| Spatial mag deviation
| Spatial sky 16325A emission deviations (filled: sky, open: star)
| Spatial sky continuum emission
| Spatial sky telluric CO2 absorption deviations (filled: H < 10)
|
5240063
| 47
| | Red | Green | Blue
| z | | 19.14
| znorm | | 14.96
| sky | 14.0 | 13.8 | 14.0
| S/N | 15.4 | 23.6 | 25.2
| S/N(c) | 24.1 | 17.4 | 14.4
| SN(E/C) | 0.79
|
|
|
|
|
|
|
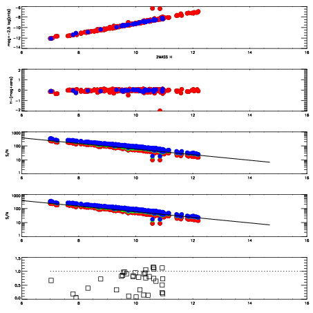
5240064
| 47
| | Red | Green | Blue
| z | | 19.02
| znorm | | 14.84
| sky | 14.1 | 13.9 | 14.1
| S/N | 14.6 | 24.1 | 25.2
| S/N(c) | 22.6 | 16.7 | 13.8
| SN(E/C) | 0.86
|
|
|
|
|
|
|
5240065
| 47
| | Red | Green | Blue
| z | | 19.14
| znorm | | 14.96
| sky | 14.0 | 14.0 | 14.1
| S/N | 15.4 | 25.1 | 26.6
| S/N(c) | 23.9 | 17.7 | 14.7
| SN(E/C) | 0.80
|
|
|
|
|
|
|
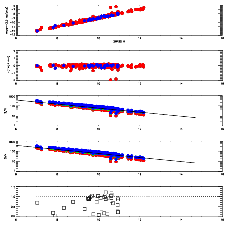
5240066
| 47
| | Red | Green | Blue
| z | | 19.12
| znorm | | 14.94
| sky | 14.1 | 14.0 | 14.1
| S/N | 15.0 | 24.6 | 25.8
| S/N(c) | 23.8 | 17.6 | 14.6
| SN(E/C) | 0.74
|
|
|
|
|
|
|
5240067
| 47
| | Red | Green | Blue
| z | | 19.20
| znorm | | 15.02
| sky | 14.0 | 14.0 | 14.1
| S/N | 16.5 | 26.5 | 28.0
| S/N(c) | 24.9 | 18.5 | 15.3
| SN(E/C) | 0.80
|
|
|
|
|
|
|
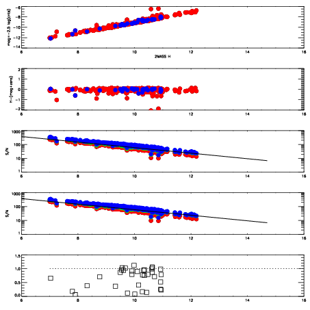
5240068
| 47
| | Red | Green | Blue
| z | | 19.23
| znorm | | 15.05
| sky | 13.8 | 13.9 | 13.9
| S/N | 16.6 | 26.8 | 28.0
| S/N(c) | 25.3 | 18.7 | 15.6
| SN(E/C) | 0.76
|
|
|
|
|
|
|
5240069
| 47
| | Red | Green | Blue
| z | | 19.15
| znorm | | 14.97
| sky | 13.9 | 14.0 | 14.0
| S/N | 15.8 | 25.6 | 26.9
| S/N(c) | 24.2 | 17.9 | 14.9
| SN(E/C) | 0.78
|
|
|
|
|
|
|
5240070
| 47
| | Red | Green | Blue
| z | | 19.13
| znorm | | 14.95
| sky | 14.1 | 14.0 | 14.1
| S/N | 15.2 | 24.7 | 25.9
| S/N(c) | 24.1 | 17.7 | 14.7
| SN(E/C) | 0.76
|
|
|
|
|
|
|