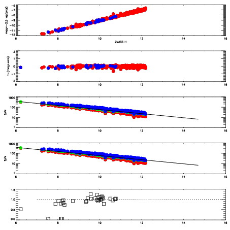
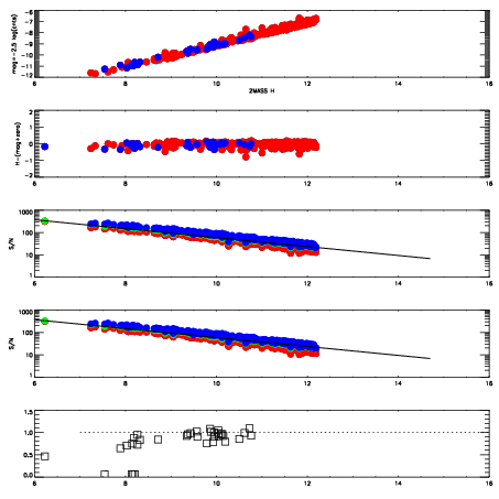
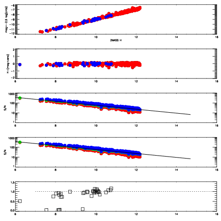
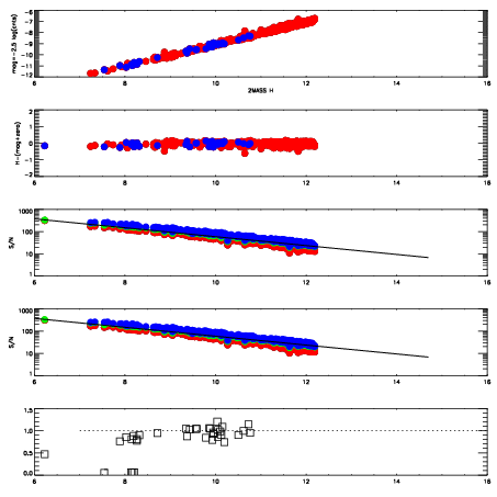
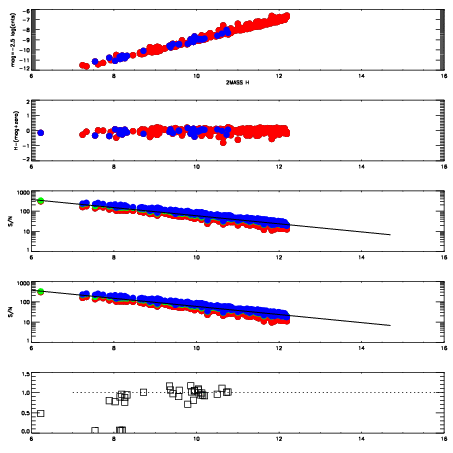
Frame | Nreads | Zeropoints | Mag plots
| Spatial mag deviation
| Spatial sky 16325A emission deviations (filled: sky, open: star)
| Spatial sky continuum emission
| Spatial sky telluric CO2 absorption deviations (filled: H < 10)
|
5150050
| 47
| | Red | Green | Blue
| z | | 19.02
| znorm | | 14.84
| sky | 14.3 | 14.1 | 14.1
| S/N | 14.6 | 23.3 | 23.8
| S/N(c) | 27.6 | 24.4 | 35.6
| SN(E/C) | 0.96
|
|
|
|
|
|
|
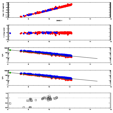
5150051
| 47
| | Red | Green | Blue
| z | | 19.10
| znorm | | 14.92
| sky | 14.2 | 14.1 | 14.2
| S/N | 15.1 | 24.1 | 25.2
| S/N(c) | 28.4 | 25.3 | 36.7
| SN(E/C) | 0.90
|
|
|
|
|
|
|
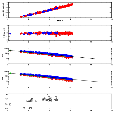
5150052
| 47
| | Red | Green | Blue
| z | | 19.13
| znorm | | 14.95
| sky | 14.3 | 14.2 | 14.2
| S/N | 15.1 | 24.5 | 25.9
| S/N(c) | 29.1 | 25.8 | 37.2
| SN(E/C) | 0.90
|
|
|
|
|
|
|
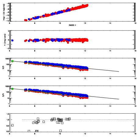
5150053
| 47
| | Red | Green | Blue
| z | | 19.12
| znorm | | 14.94
| sky | 14.4 | 14.3 | 14.3
| S/N | 15.4 | 24.4 | 26.1
| S/N(c) | 29.7 | 25.8 | 37.6
| SN(E/C) | 0.88
|
|
|
|
|
|
|
5150054
| 47
| | Red | Green | Blue
| z | | 19.08
| znorm | | 14.90
| sky | 14.3 | 14.4 | 14.4
| S/N | 15.2 | 24.5 | 25.9
| S/N(c) | 29.0 | 25.7 | 37.4
| SN(E/C) | 0.91
|
|
|
|
|
|
|
5150055
| 47
| | Red | Green | Blue
| z | | 19.00
| znorm | | 14.82
| sky | 14.2 | 14.3 | 14.3
| S/N | 14.3 | 23.7 | 25.1
| S/N(c) | 28.2 | 24.7 | 35.9
| SN(E/C) | 0.94
|
|
|
|
|
|
|
5150056
| 47
| | Red | Green | Blue
| z | | 19.08
| znorm | | 14.90
| sky | 14.4 | 14.3 | 14.4
| S/N | 14.8 | 24.6 | 25.9
| S/N(c) | 29.4 | 26.6 | 37.9
| SN(E/C) | 0.95
|
|
|
|
|
|
|
5150057
| 47
| | Red | Green | Blue
| z | | 19.11
| znorm | | 14.93
| sky | 14.2 | 14.4 | 14.4
| S/N | 14.9 | 24.9 | 26.2
| S/N(c) | 29.6 | 26.7 | 38.3
| SN(E/C) | 0.90
|
|
|
|
|
|
|