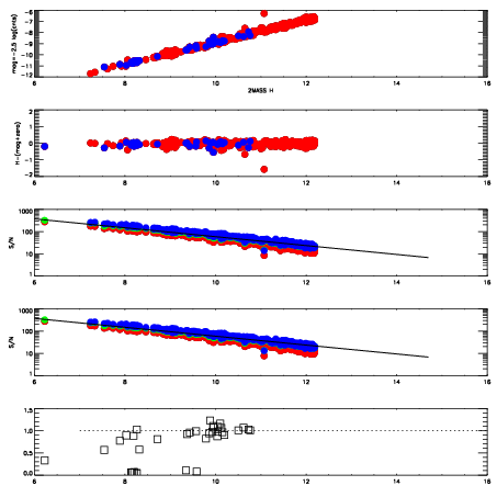
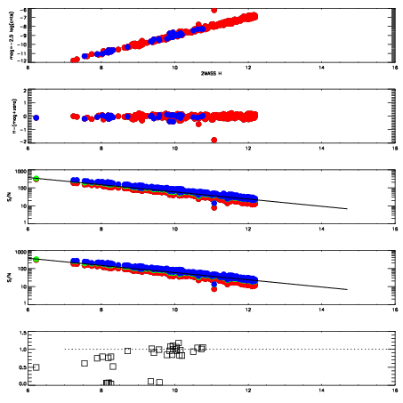
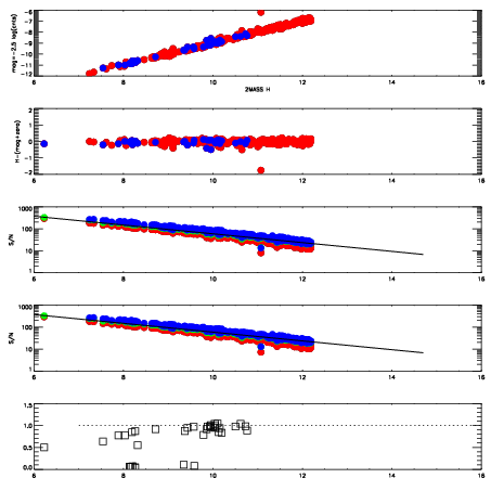
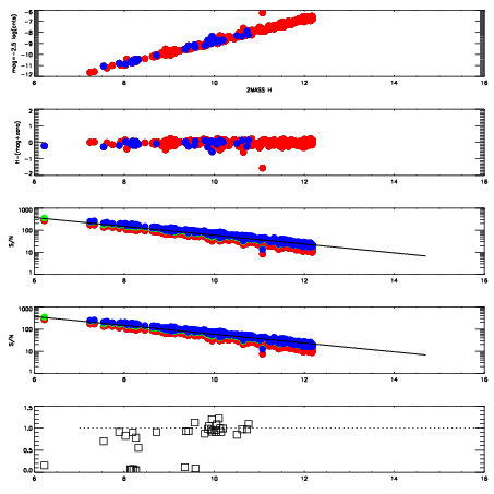
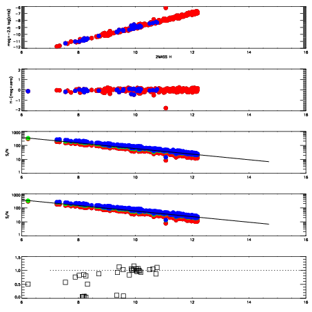
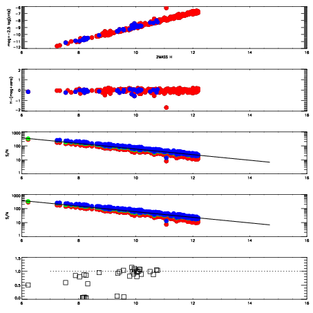
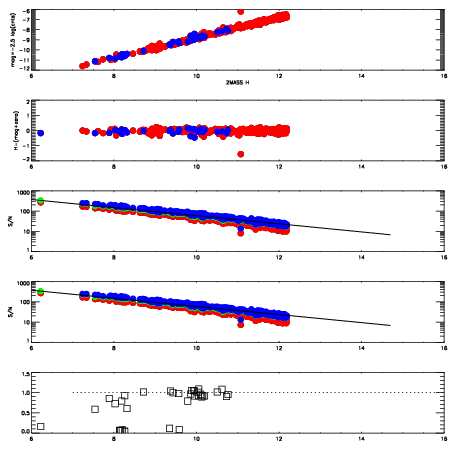
Frame | Nreads | Zeropoints | Mag plots
| Spatial mag deviation
| Spatial sky 16325A emission deviations (filled: sky, open: star)
| Spatial sky continuum emission
| Spatial sky telluric CO2 absorption deviations (filled: H < 10)
|
5200047
| 47
| | Red | Green | Blue
| z | | 18.87
| znorm | | 14.69
| sky | 14.1 | 13.9 | 14.0
| S/N | 13.0 | 21.2 | 21.8
| S/N(c) | 26.5 | 23.7 | 34.2
| SN(E/C) | 0.91
|
|
|
|
|
|
|
5200048
| 47
| | Red | Green | Blue
| z | | 18.92
| znorm | | 14.74
| sky | 14.0 | 13.9 | 13.9
| S/N | 13.3 | 21.7 | 22.6
| S/N(c) | 26.9 | 24.4 | 35.3
| SN(E/C) | 0.92
|
|
|
|
|
|
|
5200049
| 47
| | Red | Green | Blue
| z | | 18.98
| znorm | | 14.80
| sky | 13.9 | 13.9 | 13.9
| S/N | 13.8 | 23.1 | 23.4
| S/N(c) | 27.9 | 25.3 | 36.2
| SN(E/C) | 0.88
|
|
|
|
|
|
|
5200050
| 47
| | Red | Green | Blue
| z | | 18.93
| znorm | | 14.75
| sky | 14.0 | 13.9 | 14.0
| S/N | 13.4 | 21.9 | 22.9
| S/N(c) | 27.0 | 24.5 | 35.2
| SN(E/C) | 0.89
|
|
|
|
|
|
|
5200051
| 47
| | Red | Green | Blue
| z | | 18.83
| znorm | | 14.65
| sky | 14.0 | 14.0 | 14.0
| S/N | 12.2 | 20.6 | 21.6
| S/N(c) | 25.9 | 23.7 | 34.2
| SN(E/C) | 0.92
|
|
|
|
|
|
|
5200052
| 47
| | Red | Green | Blue
| z | | 19.01
| znorm | | 14.83
| sky | 14.0 | 14.0 | 13.9
| S/N | 14.3 | 23.4 | 24.2
| S/N(c) | 28.7 | 26.1 | 37.1
| SN(E/C) | 0.87
|
|
|
|
|
|
|
5200053
| 47
| | Red | Green | Blue
| z | | 19.00
| znorm | | 14.82
| sky | 14.1 | 14.0 | 13.9
| S/N | 14.2 | 23.5 | 24.0
| S/N(c) | 29.0 | 26.1 | 37.9
| SN(E/C) | 0.93
|
|
|
|
|
|
|
5200054
| 47
| | Red | Green | Blue
| z | | 19.03
| znorm | | 14.85
| sky | 14.1 | 14.1 | 14.0
| S/N | 14.4 | 24.0 | 24.5
| S/N(c) | 29.4 | 26.7 | 38.2
| SN(E/C) | 0.85
|
|
|
|
|
|
|