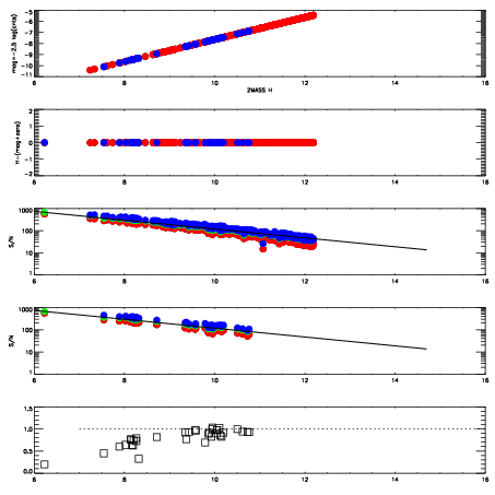
Left plots: red are targets, blue are telluric. Observed mags are calculated from median value of green chip. Zeropoint gives overall throughput: bigger number is more throughput.
First spatial plots: circles are objects, squares are tellurics, crosses are sky fibers. Colors give deviation of observed mag from expected 2MASS mag using the median zeropoint; red is brighter
Second spatial plots: circles are sky fibers. Colors give sky line brightness relative to plate median sky line brightness
FrameNreadsZeropointsMag plots Spatial mag deviation Spatial sky 16325A emission deviations (filled: sky, open: star) Spatial sky continuum emission Spatial sky telluric CO2 absorption deviations (filled: H < 10)
0 0
RedGreenBlue
z17.64
znorm Inf
sky -Inf -NaN -NaN
S/N 24.2 41.5 43.5
S/N(c) 0.0 0.0 0.0
SN(E/C) 0.85

IPAIRNAMESHIFTNEWSHIFTS/N NAMESHIFTNEWSHIFTS/N
0 05200049 0.494950 0.00000 18.9645 05200047 0.00000 0.494950 18.8595
1 05200052 0.493637 0.00131300 18.9953 05200054 -0.000961564 0.495912 19.0155
2 05200053 0.493615 0.00133500 18.9897 05200050 0.00123536 0.493715 18.9156
3 05200048 0.492676 0.00227401 18.8962 05200051 -0.00196080 0.496911 18.8095