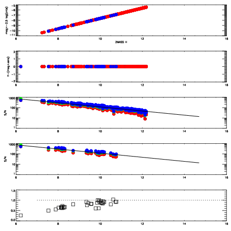
Left plots: red are targets, blue are telluric. Observed mags are calculated from median value of green chip. Zeropoint gives overall throughput: bigger number is more throughput.
First spatial plots: circles are objects, squares are tellurics, crosses are sky fibers. Colors give deviation of observed mag from expected 2MASS mag using the median zeropoint; red is brighter
Second spatial plots: circles are sky fibers. Colors give sky line brightness relative to plate median sky line brightness
FrameNreadsZeropointsMag plots Spatial mag deviation Spatial sky 16325A emission deviations (filled: sky, open: star) Spatial sky continuum emission Spatial sky telluric CO2 absorption deviations (filled: H < 10)
0 0
RedGreenBlue
z17.64
znorm Inf
sky -Inf -Inf -NaN
S/N 23.8 41.0 42.0
S/N(c) 0.0 0.0 0.0
SN(E/C) 0.81

IPAIRNAMESHIFTNEWSHIFTS/N NAMESHIFTNEWSHIFTS/N
0 05480027 0.484486 0.00000 18.8876 05480028 0.00147248 0.483014 18.9019
1 05480030 0.480606 0.00388002 18.9555 05480032 -1.08058e-05 0.484497 18.9607
2 05480031 0.483025 0.00146100 18.9336 05480029 0.000254419 0.484232 18.9084
3 05480026 0.481443 0.00304303 18.8698 05480025 0.00000 0.484486 18.8572