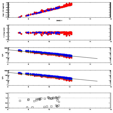
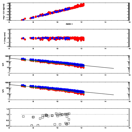
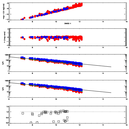
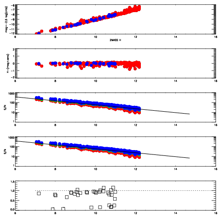
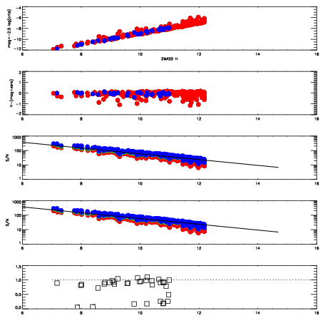
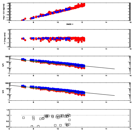
Frame | Nreads | Zeropoints | Mag plots
| Spatial mag deviation
| Spatial sky 16325A emission deviations (filled: sky, open: star)
| Spatial sky continuum emission
| Spatial sky telluric CO2 absorption deviations (filled: H < 10)
|
9990013
| 47
| | Red | Green | Blue
| z | | 18.95
| znorm | | 14.77
| sky | 14.3 | 14.1 | 14.0
| S/N | 14.3 | 23.7 | 23.9
| S/N(c) | 15.6 | 17.7 | 15.8
| SN(E/C) | 0.89
|
|
|
|
|
|
|
9990014
| 47
| | Red | Green | Blue
| z | | 19.02
| znorm | | 14.84
| sky | 14.5 | 14.1 | 14.1
| S/N | 14.9 | 24.3 | 24.8
| S/N(c) | 16.6 | 18.9 | 16.8
| SN(E/C) | 0.90
|
|
|
|
|
|
|
9990015
| 47
| | Red | Green | Blue
| z | | 19.07
| znorm | | 14.89
| sky | 14.4 | 14.1 | 14.0
| S/N | 15.2 | 24.8 | 25.3
| S/N(c) | 16.9 | 19.4 | 17.3
| SN(E/C) | 0.86
|
|
|
|
|
|
|
9990016
| 47
| | Red | Green | Blue
| z | | 19.09
| znorm | | 14.91
| sky | 14.3 | 14.1 | 14.0
| S/N | 15.2 | 24.9 | 25.4
| S/N(c) | 17.1 | 19.5 | 17.6
| SN(E/C) | 0.88
|
|
|
|
|
|
|
9990017
| 47
| | Red | Green | Blue
| z | | 19.12
| znorm | | 14.94
| sky | 14.3 | 14.2 | 14.0
| S/N | 15.7 | 25.4 | 26.1
| S/N(c) | 17.0 | 19.8 | 17.8
| SN(E/C) | 0.86
|
|
|
|
|
|
|
9990018
| 47
| | Red | Green | Blue
| z | | 19.02
| znorm | | 14.84
| sky | 14.5 | 14.2 | 14.1
| S/N | 14.5 | 23.8 | 24.8
| S/N(c) | 16.3 | 18.8 | 17.0
| SN(E/C) | 0.88
|
|
|
|
|
|
|
9990019
| 47
| | Red | Green | Blue
| z | | 19.02
| znorm | | 14.84
| sky | 14.4 | 14.2 | 14.1
| S/N | 14.4 | 23.8 | 25.0
| S/N(c) | 16.2 | 18.6 | 16.9
| SN(E/C) | 0.92
|
|
|
|
|
|
|
9990020
| 47
| | Red | Green | Blue
| z | | 18.99
| znorm | | 14.81
| sky | 14.4 | 14.3 | 14.1
| S/N | 14.1 | 23.5 | 24.1
| S/N(c) | 16.1 | 18.4 | 16.7
| SN(E/C) | 0.89
|
|
|
|
|
|
|