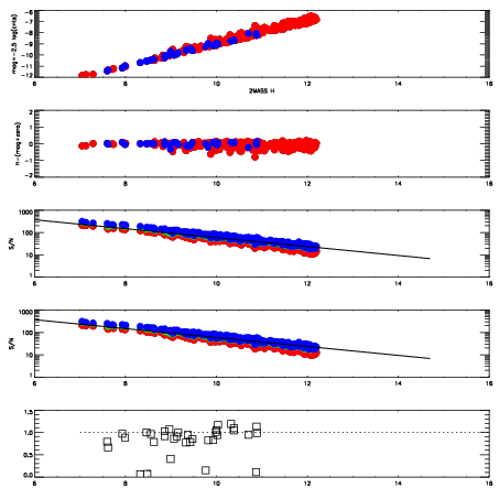
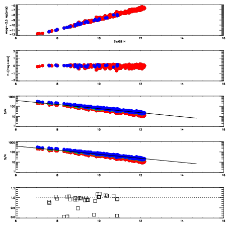
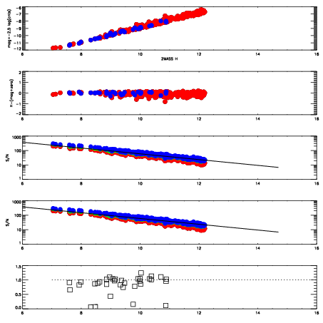
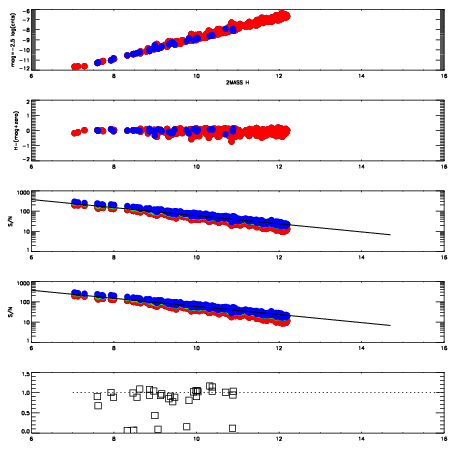
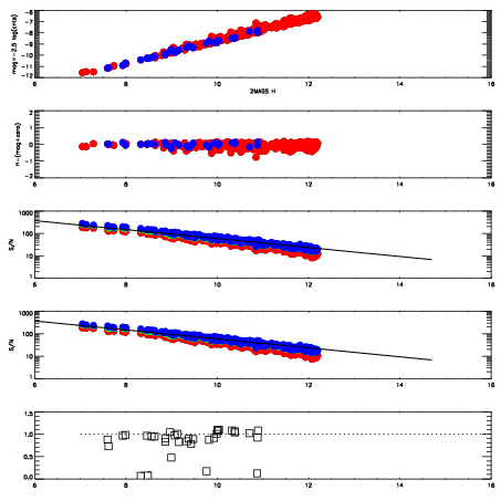
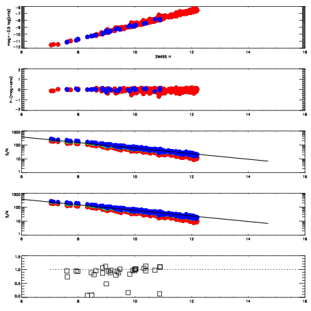
Left plots: red are targets, blue are telluric. Observed mags are calculated from median value of green chip. Zeropoint gives overall throughput: bigger number is more throughput.
First spatial plots: circles are objects, squares are tellurics, crosses are sky fibers. Colors give deviation of observed mag from expected 2MASS mag using the median zeropoint; red is brighter
Second spatial plots: circles are sky fibers. Colors give sky line brightness relative to plate median sky line brightness
FrameNreadsZeropointsMag plots Spatial mag deviation Spatial sky 16325A emission deviations (filled: sky, open: star) Spatial sky continuum emission Spatial sky telluric CO2 absorption deviations (filled: H < 10)
4870081 47
RedGreenBlue
z18.73
znorm14.55
sky 14.8 14.5 14.5
S/N 12.3 20.2 20.5
S/N(c) 21.7 23.4 14.6
SN(E/C) 0.95
4870082 47
RedGreenBlue
z18.71
znorm14.52
sky 14.7 14.5 14.7
S/N 12.0 20.1 20.5
S/N(c) 21.5 23.3 14.6
SN(E/C) 0.95
4870083 47
RedGreenBlue
z18.90
znorm14.72
sky 14.6 14.5 14.7
S/N 13.8 22.3 22.9
S/N(c) 24.0 25.7 16.1
SN(E/C) 0.93
4870084 47
RedGreenBlue
z19.00
znorm14.82
sky 14.4 14.6 14.5
S/N 14.4 23.7 23.6
S/N(c) 24.9 26.9 16.8
SN(E/C) 0.91
4870085 47
RedGreenBlue
z18.87
znorm14.69
sky 14.7 14.6 14.6
S/N 13.2 22.0 22.4
S/N(c) 23.3 25.1 15.9
SN(E/C) 0.93
4870086 47
RedGreenBlue
z18.87
znorm14.69
sky 14.7 14.6 14.6
S/N 13.4 22.1 22.5
S/N(c) 23.3 25.4 16.0
SN(E/C) 0.94