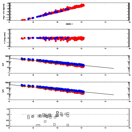
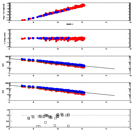
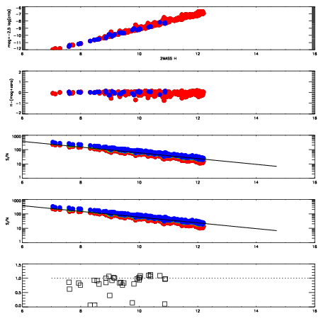
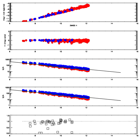
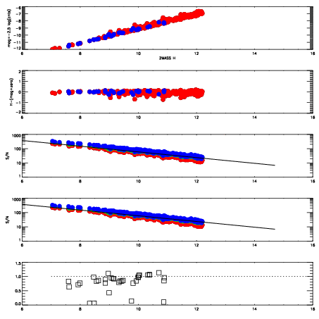
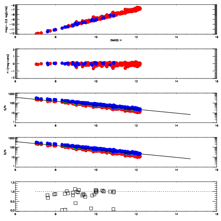
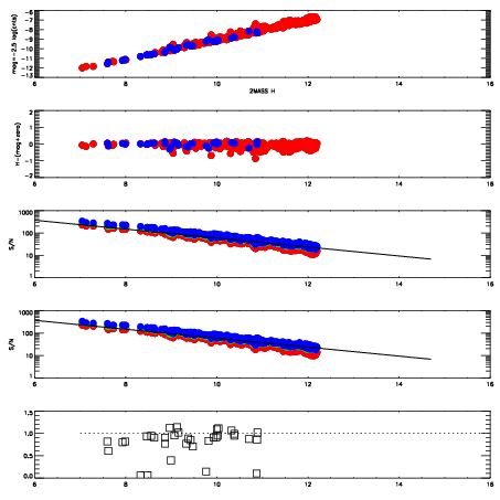
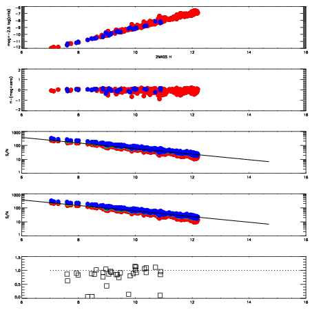
Frame | Nreads | Zeropoints | Mag plots
| Spatial mag deviation
| Spatial sky 16325A emission deviations (filled: sky, open: star)
| Spatial sky continuum emission
| Spatial sky telluric CO2 absorption deviations (filled: H < 10)
|
4910069
| 47
| | Red | Green | Blue
| z | | 19.07
| znorm | | 14.89
| sky | 14.5 | 14.3 | 14.1
| S/N | 15.6 | 24.6 | 24.5
| S/N(c) | 26.1 | 28.0 | 17.3
| SN(E/C) | 0.88
|
|
|
|
|
|
|
4910070
| 47
| | Red | Green | Blue
| z | | 19.11
| znorm | | 14.93
| sky | 14.5 | 14.4 | 14.3
| S/N | 15.8 | 25.3 | 25.7
| S/N(c) | 27.1 | 28.7 | 18.0
| SN(E/C) | 0.88
|
|
|
|
|
|
|
4910071
| 47
| | Red | Green | Blue
| z | | 19.09
| znorm | | 14.91
| sky | 14.3 | 14.3 | 14.4
| S/N | 15.3 | 24.6 | 25.7
| S/N(c) | 27.0 | 28.3 | 18.0
| SN(E/C) | 0.87
|
|
|
|
|
|
|
4910072
| 47
| | Red | Green | Blue
| z | | 19.09
| znorm | | 14.91
| sky | 14.4 | 14.4 | 14.5
| S/N | 15.7 | 24.8 | 25.5
| S/N(c) | 26.7 | 28.4 | 18.0
| SN(E/C) | 0.92
|
|
|
|
|
|
|
4910073
| 47
| | Red | Green | Blue
| z | | 19.11
| znorm | | 14.93
| sky | 14.6 | 14.5 | 14.3
| S/N | 15.3 | 24.9 | 25.5
| S/N(c) | 26.8 | 28.4 | 18.0
| SN(E/C) | 0.85
|
|
|
|
|
|
|
4910074
| 47
| | Red | Green | Blue
| z | | 19.07
| znorm | | 14.89
| sky | 14.4 | 14.5 | 14.4
| S/N | 15.1 | 24.5 | 25.0
| S/N(c) | 26.2 | 27.7 | 17.5
| SN(E/C) | 0.92
|
|
|
|
|
|
|
4910075
| 47
| | Red | Green | Blue
| z | | 19.02
| znorm | | 14.84
| sky | 14.4 | 14.4 | 14.4
| S/N | 14.7 | 24.0 | 24.3
| S/N(c) | 25.8 | 27.3 | 17.0
| SN(E/C) | 0.89
|
|
|
|
|
|
|
4910076
| 47
| | Red | Green | Blue
| z | | 19.08
| znorm | | 14.90
| sky | 14.5 | 14.5 | 14.5
| S/N | 15.1 | 24.8 | 25.3
| S/N(c) | 26.3 | 27.9 | 17.7
| SN(E/C) | 0.90
|
|
|
|
|
|
|