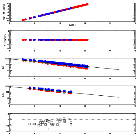
Left plots: red are targets, blue are telluric. Observed mags are calculated from median value of green chip. Zeropoint gives overall throughput: bigger number is more throughput.
First spatial plots: circles are objects, squares are tellurics, crosses are sky fibers. Colors give deviation of observed mag from expected 2MASS mag using the median zeropoint; red is brighter
Second spatial plots: circles are sky fibers. Colors give sky line brightness relative to plate median sky line brightness
FrameNreadsZeropointsMag plots Spatial mag deviation Spatial sky 16325A emission deviations (filled: sky, open: star) Spatial sky continuum emission Spatial sky telluric CO2 absorption deviations (filled: H < 10)
0 0
RedGreenBlue
z17.63
znorm Inf
sky -NaN -NaN -Inf
S/N 27.3 45.4 47.7
S/N(c) 0.0 0.0 0.0
SN(E/C) 0.78

IPAIRNAMESHIFTNEWSHIFTS/N NAMESHIFTNEWSHIFTS/N
0 04910075 0.491329 0.00000 18.9988 04910069 0.00000 0.491329 19.0473
1 04910070 0.486772 0.00455701 19.0924 04910073 -0.00276603 0.494095 19.0840
2 04910071 0.487727 0.00360203 19.0748 04910072 -0.000495173 0.491824 19.0753
3 04910074 0.486113 0.00521600 19.0460 04910076 -7.82270e-06 0.491337 19.0603