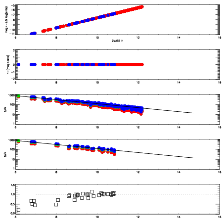
Left plots: red are targets, blue are telluric. Observed mags are calculated from median value of green chip. Zeropoint gives overall throughput: bigger number is more throughput.
First spatial plots: circles are objects, squares are tellurics, crosses are sky fibers. Colors give deviation of observed mag from expected 2MASS mag using the median zeropoint; red is brighter
Second spatial plots: circles are sky fibers. Colors give sky line brightness relative to plate median sky line brightness
FrameNreadsZeropointsMag plots Spatial mag deviation Spatial sky 16325A emission deviations (filled: sky, open: star) Spatial sky continuum emission Spatial sky telluric CO2 absorption deviations (filled: H < 10)
0 0
RedGreenBlue
z17.63
znorm Inf
sky -NaN -NaN -NaN
S/N 20.5 36.6 37.8
S/N(c) 0.0 0.0 0.0
SN(E/C) 0.96

IPAIRNAMESHIFTNEWSHIFTS/N NAMESHIFTNEWSHIFTS/N
0 12070079 0.491606 0.00000 18.6169 12070084 -0.0136767 0.505283 18.7080
1 12070082 0.490788 0.000817984 18.6133 12070081 0.00103489 0.490571 18.6645
2 12070083 0.491005 0.000600994 18.6108 12070080 0.000346520 0.491259 18.6209
3 12070078 0.490933 0.000672996 18.5530 12070077 0.00000 0.491606 18.5467