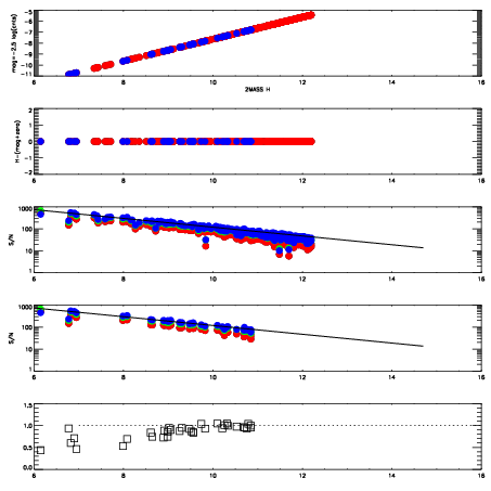
Left plots: red are targets, blue are telluric. Observed mags are calculated from median value of green chip. Zeropoint gives overall throughput: bigger number is more throughput.
First spatial plots: circles are objects, squares are tellurics, crosses are sky fibers. Colors give deviation of observed mag from expected 2MASS mag using the median zeropoint; red is brighter
Second spatial plots: circles are sky fibers. Colors give sky line brightness relative to plate median sky line brightness
FrameNreadsZeropointsMag plots Spatial mag deviation Spatial sky 16325A emission deviations (filled: sky, open: star) Spatial sky continuum emission Spatial sky telluric CO2 absorption deviations (filled: H < 10)
0 0
RedGreenBlue
z17.63
znorm Inf
sky -NaN -NaN -NaN
S/N 18.1 32.8 33.3
S/N(c) 0.0 0.0 0.0
SN(E/C) 0.92

IPAIRNAMESHIFTNEWSHIFTS/N NAMESHIFTNEWSHIFTS/N
0 12110024 0.496261 0.00000 18.5598 12110029 -0.00289823 0.499159 18.6208
1 12110027 0.495803 0.000458002 18.6260 12110025 -0.00166558 0.497927 18.7627
2 12110028 0.495706 0.000555009 18.3874 12110026 -0.00131574 0.497577 18.5517
3 12110023 0.496191 7.00057e-05 17.9762 12110022 0.00000 0.496261 17.2861