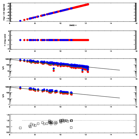
Left plots: red are targets, blue are telluric. Observed mags are calculated from median value of green chip. Zeropoint gives overall throughput: bigger number is more throughput.
First spatial plots: circles are objects, squares are tellurics, crosses are sky fibers. Colors give deviation of observed mag from expected 2MASS mag using the median zeropoint; red is brighter
Second spatial plots: circles are sky fibers. Colors give sky line brightness relative to plate median sky line brightness
FrameNreadsZeropointsMag plots Spatial mag deviation Spatial sky 16325A emission deviations (filled: sky, open: star) Spatial sky continuum emission Spatial sky telluric CO2 absorption deviations (filled: H < 10)
0 0
RedGreenBlue
z17.64
znorm Inf
sky -Inf -Inf -Inf
S/N 25.0 43.5 45.4
S/N(c) 0.0 0.0 0.0
SN(E/C) 0.84

IPAIRNAMESHIFTNEWSHIFTS/N NAMESHIFTNEWSHIFTS/N
0 12430039 0.492544 0.00000 19.0218 12430037 -0.000835002 0.493379 18.9813
1 12430034 0.491017 0.00152698 19.0751 12430036 -0.000491009 0.493035 19.0793
2 12430035 0.492089 0.000454992 19.0724 12430033 0.00000 0.492544 18.9908
3 12430038 0.491906 0.000638008 18.9801 12430040 -0.00171394 0.494258 18.8690