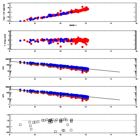
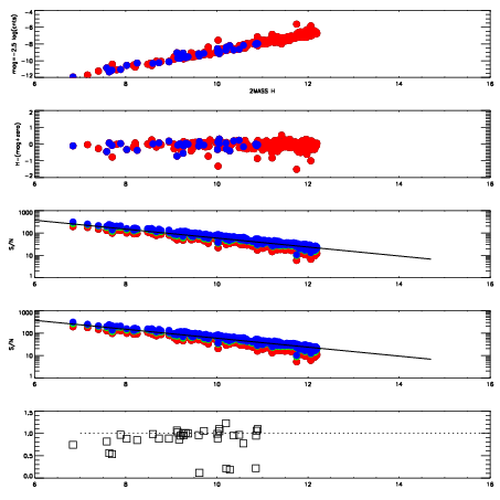
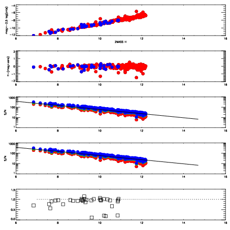
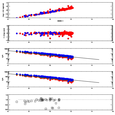
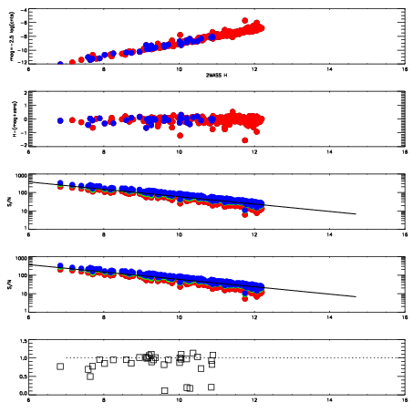
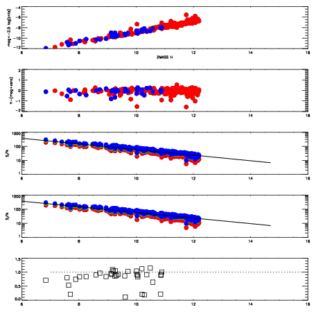
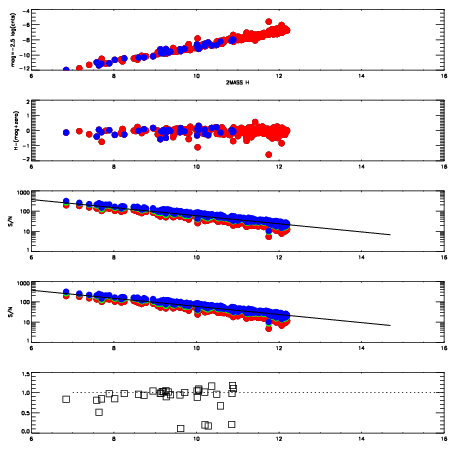
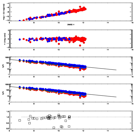
Frame | Nreads | Zeropoints | Mag plots
| Spatial mag deviation
| Spatial sky 16325A emission deviations (filled: sky, open: star)
| Spatial sky continuum emission
| Spatial sky telluric CO2 absorption deviations (filled: H < 10)
|
12510020
| 47
| | Red | Green | Blue
| z | | 18.89
| znorm | | 14.71
| sky | 14.3 | 14.4 | 14.3
| S/N | 13.6 | 22.2 | 22.6
| S/N(c) | 16.5 | 10.5 | 20.8
| SN(E/C) | 0.89
|
|
|
|
|
|
|
12510021
| 47
| | Red | Green | Blue
| z | | 18.90
| znorm | | 14.72
| sky | 14.2 | 14.5 | 14.7
| S/N | 13.2 | 22.0 | 22.8
| S/N(c) | 16.2 | 10.5 | 20.8
| SN(E/C) | 0.92
|
|
|
|
|
|
|
12510022
| 47
| | Red | Green | Blue
| z | | 18.90
| znorm | | 14.72
| sky | 14.3 | 14.5 | 14.7
| S/N | 13.2 | 21.7 | 22.9
| S/N(c) | 16.1 | 10.4 | 20.6
| SN(E/C) | 0.95
|
|
|
|
|
|
|
12510023
| 47
| | Red | Green | Blue
| z | | 18.94
| znorm | | 14.76
| sky | 14.5 | 14.6 | 14.7
| S/N | 13.4 | 22.4 | 23.8
| S/N(c) | 16.5 | 10.8 | 21.1
| SN(E/C) | 0.95
|
|
|
|
|
|
|
12510024
| 47
| | Red | Green | Blue
| z | | 18.96
| znorm | | 14.78
| sky | 14.3 | 14.5 | 14.7
| S/N | 13.6 | 22.4 | 23.9
| S/N(c) | 16.5 | 10.8 | 21.4
| SN(E/C) | 0.91
|
|
|
|
|
|
|
12510025
| 47
| | Red | Green | Blue
| z | | 18.95
| znorm | | 14.77
| sky | 14.3 | 14.5 | 14.7
| S/N | 13.6 | 22.3 | 23.6
| S/N(c) | 16.5 | 10.7 | 21.1
| SN(E/C) | 0.97
|
|
|
|
|
|
|
12510026
| 47
| | Red | Green | Blue
| z | | 19.04
| znorm | | 14.86
| sky | 14.4 | 14.6 | 14.7
| S/N | 14.5 | 23.5 | 24.7
| S/N(c) | 17.6 | 11.2 | 22.4
| SN(E/C) | 0.93
|
|
|
|
|
|
|
12510027
| 47
| | Red | Green | Blue
| z | | 19.03
| znorm | | 14.85
| sky | 14.4 | 14.6 | 14.8
| S/N | 14.2 | 23.2 | 24.7
| S/N(c) | 17.2 | 11.0 | 21.7
| SN(E/C) | 0.94
|
|
|
|
|
|
|