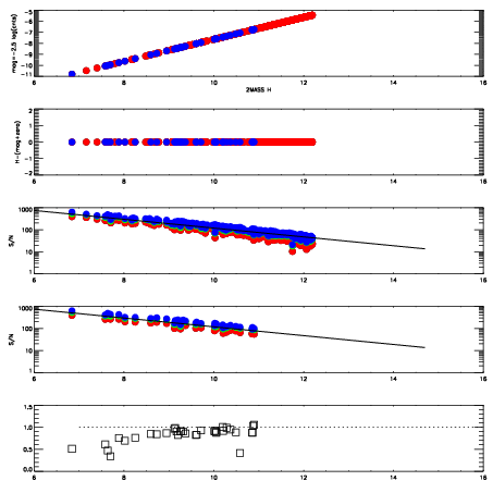
Left plots: red are targets, blue are telluric. Observed mags are calculated from median value of green chip. Zeropoint gives overall throughput: bigger number is more throughput.
First spatial plots: circles are objects, squares are tellurics, crosses are sky fibers. Colors give deviation of observed mag from expected 2MASS mag using the median zeropoint; red is brighter
Second spatial plots: circles are sky fibers. Colors give sky line brightness relative to plate median sky line brightness
FrameNreadsZeropointsMag plots Spatial mag deviation Spatial sky 16325A emission deviations (filled: sky, open: star) Spatial sky continuum emission Spatial sky telluric CO2 absorption deviations (filled: H < 10)
0 0
RedGreenBlue
z17.64
znorm Inf
sky -Inf -Inf -Inf
S/N 24.4 41.4 44.4
S/N(c) 0.0 0.0 0.0
SN(E/C) 0.88

IPAIRNAMESHIFTNEWSHIFTS/N NAMESHIFTNEWSHIFTS/N
0 12510022 0.492157 0.00000 18.8871 12510023 -0.00205119 0.494208 18.9343
1 12510026 0.490974 0.00118300 19.0295 12510027 0.000107868 0.492049 19.0023
2 12510025 0.490686 0.00147101 18.9334 12510024 -0.00134227 0.493499 18.9523
3 12510021 0.491495 0.000661999 18.8704 12510020 0.00000 0.492157 18.8669