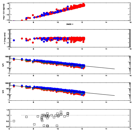
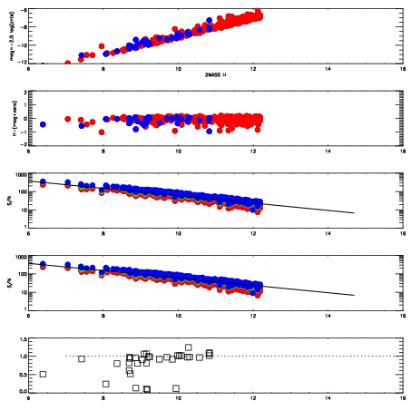
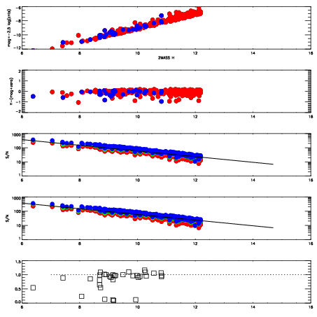
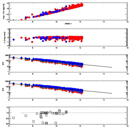
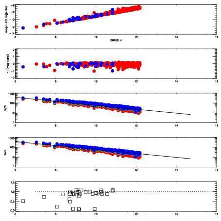
Frame | Nreads | Zeropoints | Mag plots
| Spatial mag deviation
| Spatial sky 16325A emission deviations (filled: sky, open: star)
| Spatial sky continuum emission
| Spatial sky telluric CO2 absorption deviations (filled: H < 10)
|
5180044
| 47
| | Red | Green | Blue
| z | | 18.97
| znorm | | 14.79
| sky | 14.2 | 14.0 | 13.9
| S/N | 14.8 | 23.3 | 23.2
| S/N(c) | 28.0 | 12.8 | 11.0
| SN(E/C) | 0.92
|
|
|
|
|
|
|
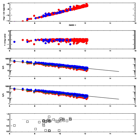
5180045
| 47
| | Red | Green | Blue
| z | | 18.93
| znorm | | 14.75
| sky | 14.2 | 14.1 | 14.2
| S/N | 14.2 | 22.8 | 22.9
| S/N(c) | 26.6 | 12.1 | 10.8
| SN(E/C) | 0.95
|
|
|
|
|
|
|
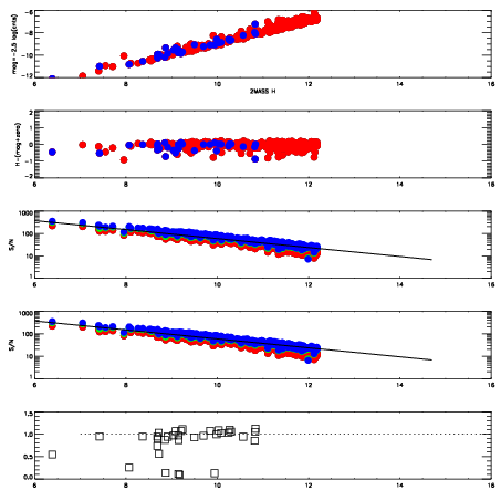
5180046
| 47
| | Red | Green | Blue
| z | | 19.04
| znorm | | 14.86
| sky | 14.2 | 14.1 | 14.2
| S/N | 15.1 | 23.7 | 24.6
| S/N(c) | 28.2 | 12.8 | 11.4
| SN(E/C) | 0.94
|
|
|
|
|
|
|
5180047
| 47
| | Red | Green | Blue
| z | | 19.05
| znorm | | 14.87
| sky | 14.4 | 14.3 | 14.2
| S/N | 15.5 | 24.2 | 25.1
| S/N(c) | 28.3 | 12.8 | 11.4
| SN(E/C) | 0.95
|
|
|
|
|
|
|
5180048
| 47
| | Red | Green | Blue
| z | | 19.05
| znorm | | 14.87
| sky | 14.1 | 14.2 | 14.3
| S/N | 15.2 | 24.3 | 25.1
| S/N(c) | 28.0 | 12.8 | 11.4
| SN(E/C) | 0.96
|
|
|
|
|
|
|
5180049
| 47
| | Red | Green | Blue
| z | | 19.07
| znorm | | 14.89
| sky | 14.2 | 14.2 | 14.3
| S/N | 15.3 | 24.7 | 25.7
| S/N(c) | 27.9 | 13.1 | 11.5
| SN(E/C) | 0.92
|
|
|
|
|
|
|
5180050
| 47
| | Red | Green | Blue
| z | | 19.09
| znorm | | 14.91
| sky | 14.2 | 14.3 | 14.2
| S/N | 15.7 | 24.8 | 26.1
| S/N(c) | 28.3 | 13.1 | 11.6
| SN(E/C) | 0.88
|
|
|
|
|
|
|
5180051
| 47
| | Red | Green | Blue
| z | | 19.10
| znorm | | 14.92
| sky | 14.3 | 14.3 | 14.3
| S/N | 15.7 | 24.9 | 26.4
| S/N(c) | 28.6 | 13.4 | 11.7
| SN(E/C) | 0.89
|
|
|
|
|
|
|