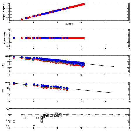
Left plots: red are targets, blue are telluric. Observed mags are calculated from median value of green chip. Zeropoint gives overall throughput: bigger number is more throughput.
First spatial plots: circles are objects, squares are tellurics, crosses are sky fibers. Colors give deviation of observed mag from expected 2MASS mag using the median zeropoint; red is brighter
Second spatial plots: circles are sky fibers. Colors give sky line brightness relative to plate median sky line brightness
FrameNreadsZeropointsMag plots Spatial mag deviation Spatial sky 16325A emission deviations (filled: sky, open: star) Spatial sky continuum emission Spatial sky telluric CO2 absorption deviations (filled: H < 10)
0 0
RedGreenBlue
z17.64
znorm Inf
sky -Inf -Inf -Inf
S/N 26.7 44.4 47.1
S/N(c) 0.0 0.0 0.0
SN(E/C) 0.90

IPAIRNAMESHIFTNEWSHIFTS/N NAMESHIFTNEWSHIFTS/N
0 05180046 0.495210 0.00000 19.0166 05180048 -0.00190538 0.497115 19.0249
1 05180050 0.491625 0.00358498 19.0721 05180051 -0.00190112 0.497111 19.0792
2 05180049 0.492147 0.00306299 19.0378 05180047 1.93727e-05 0.495191 19.0385
3 05180045 0.493495 0.00171500 18.9138 05180044 0.00000 0.495210 18.9511