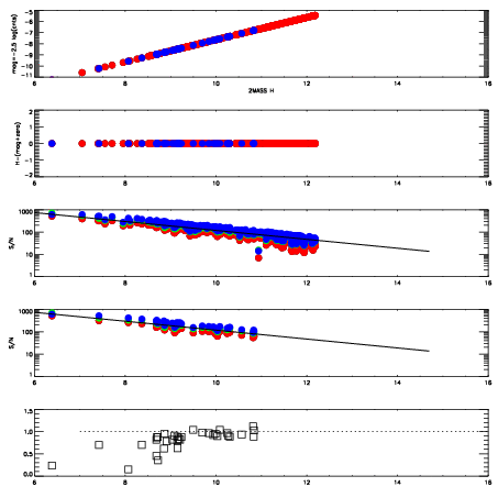
Left plots: red are targets, blue are telluric. Observed mags are calculated from median value of green chip. Zeropoint gives overall throughput: bigger number is more throughput.
First spatial plots: circles are objects, squares are tellurics, crosses are sky fibers. Colors give deviation of observed mag from expected 2MASS mag using the median zeropoint; red is brighter
Second spatial plots: circles are sky fibers. Colors give sky line brightness relative to plate median sky line brightness
FrameNreadsZeropointsMag plots Spatial mag deviation Spatial sky 16325A emission deviations (filled: sky, open: star) Spatial sky continuum emission Spatial sky telluric CO2 absorption deviations (filled: H < 10)
0 0
RedGreenBlue
z17.64
znorm Inf
sky -NaN -NaN -NaN
S/N 27.3 44.5 47.8
S/N(c) 0.0 0.0 0.0
SN(E/C) 0.88

IPAIRNAMESHIFTNEWSHIFTS/N NAMESHIFTNEWSHIFTS/N
0 11780028 0.488123 0.00000 18.9892 11780026 0.00000 0.488123 18.9872
1 11780032 0.487132 0.000990987 19.1162 11780033 -0.00226664 0.490390 19.1252
2 11780031 0.487337 0.000786006 19.1139 11780030 -0.00168592 0.489809 19.0538
3 11780027 0.487673 0.000449985 18.9984 11780029 -0.00202597 0.490149 19.0479