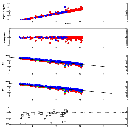
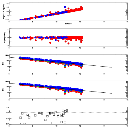
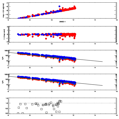
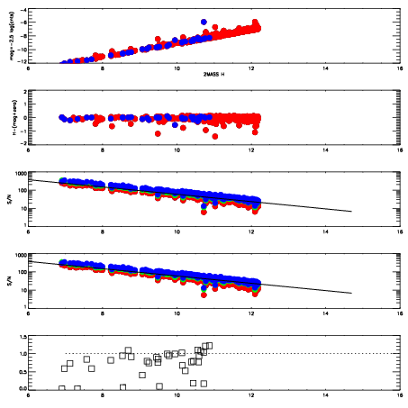
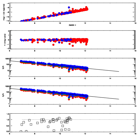
Frame | Nreads | Zeropoints | Mag plots
| Spatial mag deviation
| Spatial sky 16325A emission deviations (filled: sky, open: star)
| Spatial sky continuum emission
| Spatial sky telluric CO2 absorption deviations (filled: H < 10)
|
10070013
| 47
| | Red | Green | Blue
| z | | 19.10
| znorm | | 14.92
| sky | 14.6 | 14.3 | 14.1
| S/N | 15.3 | 24.8 | 25.4
| S/N(c) | 20.7 | 6.0 | 5.0
| SN(E/C) | 0.87
|
|
|
|
|
|
|
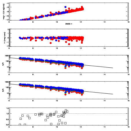
10070014
| 47
| | Red | Green | Blue
| z | | 19.06
| znorm | | 14.88
| sky | 14.8 | 14.6 | 14.4
| S/N | 14.6 | 24.0 | 25.2
| S/N(c) | 20.1 | 5.8 | 5.0
| SN(E/C) | 0.85
|
|
|
|
|
|
|
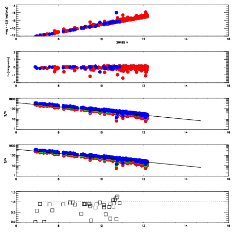
10070015
| 47
| | Red | Green | Blue
| z | | 19.08
| znorm | | 14.90
| sky | 14.7 | 14.5 | 14.5
| S/N | 14.8 | 24.4 | 25.8
| S/N(c) | 20.3 | 5.9 | 5.1
| SN(E/C) | 0.83
|
|
|
|
|
|
|
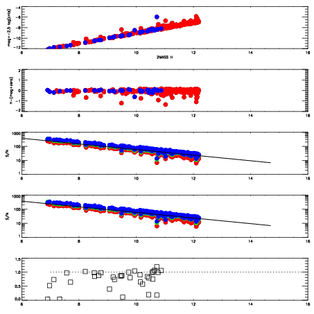
10070016
| 47
| | Red | Green | Blue
| z | | 19.07
| znorm | | 14.89
| sky | 14.7 | 14.7 | 14.6
| S/N | 14.6 | 24.1 | 25.7
| S/N(c) | 20.2 | 5.9 | 5.1
| SN(E/C) | 0.84
|
|
|
|
|
|
|
10070017
| 47
| | Red | Green | Blue
| z | | 18.96
| znorm | | 14.78
| sky | 14.7 | 14.5 | 14.7
| S/N | 14.1 | 22.8 | 24.4
| S/N(c) | 19.1 | 5.6 | 4.8
| SN(E/C) | 0.84
|
|
|
|
|
|
|
10070018
| 47
| | Red | Green | Blue
| z | | 19.06
| znorm | | 14.88
| sky | 14.6 | 14.7 | 14.5
| S/N | 14.7 | 24.1 | 25.5
| S/N(c) | 20.0 | 5.8 | 5.0
| SN(E/C) | 0.88
|
|
|
|
|
|
|
10070019
| 47
| | Red | Green | Blue
| z | | 19.12
| znorm | | 14.94
| sky | 14.7 | 14.6 | 14.5
| S/N | 15.1 | 24.5 | 26.4
| S/N(c) | 20.7 | 6.1 | 5.1
| SN(E/C) | 0.82
|
|
|
|
|
|
|
10070020
| 47
| | Red | Green | Blue
| z | | 19.12
| znorm | | 14.94
| sky | 14.5 | 14.5 | 14.5
| S/N | 15.1 | 24.5 | 26.4
| S/N(c) | 20.5 | 6.0 | 5.1
| SN(E/C) | 0.79
|
|
|
|
|
|
|