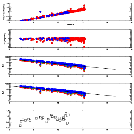
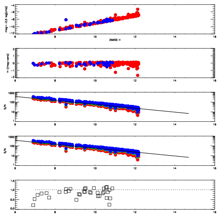
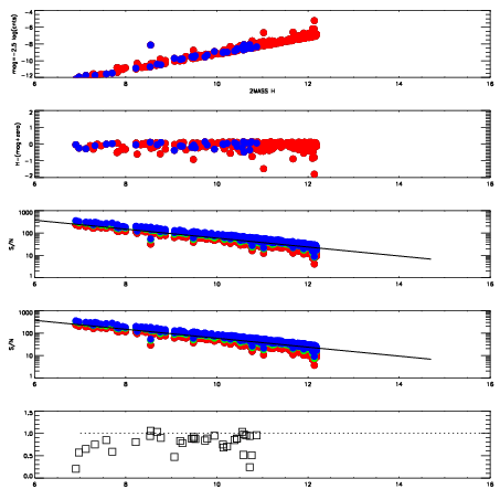
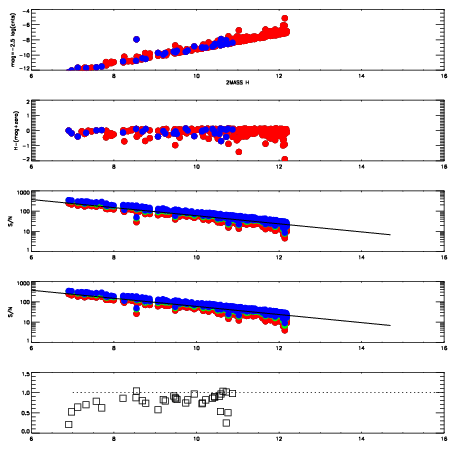
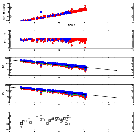
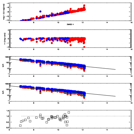
Frame | Nreads | Zeropoints | Mag plots
| Spatial mag deviation
| Spatial sky 16325A emission deviations (filled: sky, open: star)
| Spatial sky continuum emission
| Spatial sky telluric CO2 absorption deviations (filled: H < 10)
|
10110011
| 47
| | Red | Green | Blue
| z | | 19.17
| znorm | | 14.99
| sky | 13.1 | 13.0 | 12.9
| S/N | 15.0 | 23.1 | 24.5
| S/N(c) | 29.0 | 19.9 | 8.6
| SN(E/C) | 0.82
|
|
|
|
|
|
|
10110012
| 47
| | Red | Green | Blue
| z | | 19.20
| znorm | | 15.02
| sky | 14.3 | 14.2 | 14.0
| S/N | 16.0 | 26.1 | 27.4
| S/N(c) | 30.4 | 20.9 | 9.0
| SN(E/C) | 0.83
|
|
|
|
|
|
|
10110013
| 47
| | Red | Green | Blue
| z | | 19.18
| znorm | | 15.00
| sky | 14.5 | 14.4 | 14.1
| S/N | 15.6 | 25.9 | 27.0
| S/N(c) | 29.9 | 20.9 | 8.9
| SN(E/C) | 0.82
|
|
|
|
|
|
|
10110014
| 47
| | Red | Green | Blue
| z | | 19.15
| znorm | | 14.97
| sky | 14.4 | 14.3 | 14.2
| S/N | 15.3 | 25.7 | 26.9
| S/N(c) | 29.2 | 20.6 | 8.9
| SN(E/C) | 0.86
|
|
|
|
|
|
|
10110015
| 47
| | Red | Green | Blue
| z | | 19.14
| znorm | | 14.96
| sky | 14.4 | 14.3 | 14.2
| S/N | 15.2 | 25.5 | 26.8
| S/N(c) | 28.9 | 20.4 | 8.8
| SN(E/C) | 0.89
|
|
|
|
|
|
|
10110016
| 47
| | Red | Green | Blue
| z | | 19.10
| znorm | | 14.92
| sky | 14.4 | 14.4 | 14.3
| S/N | 14.8 | 24.5 | 26.2
| S/N(c) | 28.7 | 20.2 | 8.6
| SN(E/C) | 0.85
|
|
|
|
|
|
|
10110017
| 47
| | Red | Green | Blue
| z | | 19.09
| znorm | | 14.91
| sky | 14.5 | 14.4 | 14.3
| S/N | 14.6 | 24.6 | 26.1
| S/N(c) | 28.0 | 20.1 | 8.5
| SN(E/C) | 0.87
|
|
|
|
|
|
|
10110018
| 47
| | Red | Green | Blue
| z | | 19.15
| znorm | | 14.97
| sky | 14.6 | 14.4 | 14.2
| S/N | 15.3 | 25.0 | 26.8
| S/N(c) | 29.2 | 20.8 | 8.8
| SN(E/C) | 0.85
|
|
|
|
|
|
|