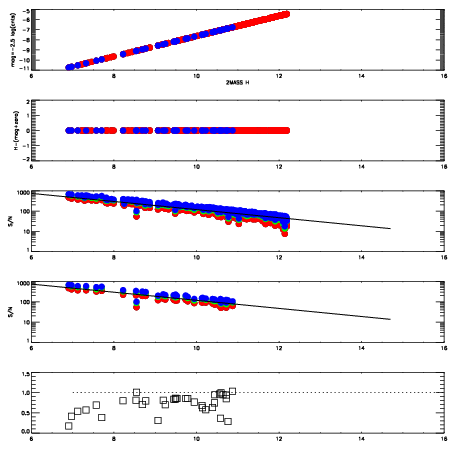
Left plots: red are targets, blue are telluric. Observed mags are calculated from median value of green chip. Zeropoint gives overall throughput: bigger number is more throughput.
First spatial plots: circles are objects, squares are tellurics, crosses are sky fibers. Colors give deviation of observed mag from expected 2MASS mag using the median zeropoint; red is brighter
Second spatial plots: circles are sky fibers. Colors give sky line brightness relative to plate median sky line brightness
FrameNreadsZeropointsMag plots Spatial mag deviation Spatial sky 16325A emission deviations (filled: sky, open: star) Spatial sky continuum emission Spatial sky telluric CO2 absorption deviations (filled: H < 10)
0 0
RedGreenBlue
z17.64
znorm Inf
sky -NaN -NaN -Inf
S/N 26.6 45.1 50.5
S/N(c) 0.0 0.0 0.0
SN(E/C) 0.79

IPAIRNAMESHIFTNEWSHIFTS/N NAMESHIFTNEWSHIFTS/N
0 10110017 0.510869 0.00000 19.0721 10110015 0.00344529 0.507424 19.1289
1 10110012 0.506419 0.00445002 19.1871 10110011 0.00000 0.510869 19.1573
2 10110013 0.506892 0.00397700 19.1675 10110018 0.00356249 0.507307 19.1358
3 10110016 0.510303 0.000566006 19.0834 10110014 0.00314891 0.507720 19.1328