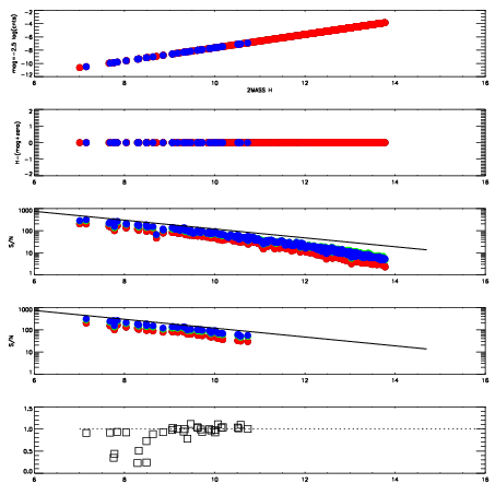
Left plots: red are targets, blue are telluric. Observed mags are calculated from median value of green chip. Zeropoint gives overall throughput: bigger number is more throughput.
First spatial plots: circles are objects, squares are tellurics, crosses are sky fibers. Colors give deviation of observed mag from expected 2MASS mag using the median zeropoint; red is brighter
Second spatial plots: circles are sky fibers. Colors give sky line brightness relative to plate median sky line brightness
FrameNreadsZeropointsMag plots Spatial mag deviation Spatial sky 16325A emission deviations (filled: sky, open: star) Spatial sky continuum emission Spatial sky telluric CO2 absorption deviations (filled: H < 10)
0 0
RedGreenBlue
z17.64
znorm Inf
sky -Inf -NaN -Inf
S/N 11.1 19.0 18.2
S/N(c) 0.0 0.0 0.0
SN(E/C) 0.98

IPAIRNAMESHIFTNEWSHIFTS/N NAMESHIFTNEWSHIFTS/N
0 12120012 0.494978 0.00000 16.0810 12120011 0.00000 0.494978 17.3992
1 12120017 0.492902 0.00207600 18.0973 12120018 -0.00252485 0.497503 18.2333
2 12120016 0.493117 0.00186101 17.9830 12120015 -0.00215011 0.497128 17.8347
3 12120013 0.494711 0.000266999 16.7980 12120014 -0.00213270 0.497111 17.4864