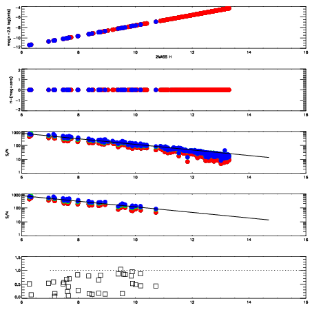
Left plots: red are targets, blue are telluric. Observed mags are calculated from median value of green chip. Zeropoint gives overall throughput: bigger number is more throughput.
First spatial plots: circles are objects, squares are tellurics, crosses are sky fibers. Colors give deviation of observed mag from expected 2MASS mag using the median zeropoint; red is brighter
Second spatial plots: circles are sky fibers. Colors give sky line brightness relative to plate median sky line brightness
FrameNreadsZeropointsMag plots Spatial mag deviation Spatial sky 16325A emission deviations (filled: sky, open: star) Spatial sky continuum emission Spatial sky telluric CO2 absorption deviations (filled: H < 10)
0 0
RedGreenBlue
z17.64
znorm Inf
sky -NaN -Inf -Inf
S/N 22.6 34.3 34.9
S/N(c) 0.0 0.0 0.0
SN(E/C) 0.53

IPAIRNAMESHIFTNEWSHIFTS/N NAMESHIFTNEWSHIFTS/N
0 12610044 0.489338 0.00000 18.7710 12610041 -0.00359101 0.492929 18.7441
1 12610043 0.488528 0.000809997 18.8022 12610045 -0.000668163 0.490006 18.7893
2 12610039 0.486603 0.00273502 18.7529 12610042 -0.00388731 0.493225 18.7245
3 12610040 0.486603 0.00273502 18.7436 12610038 0.00000 0.489338 18.6918