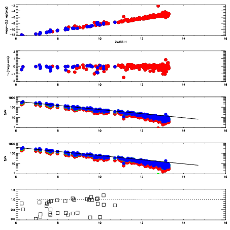
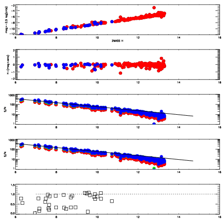
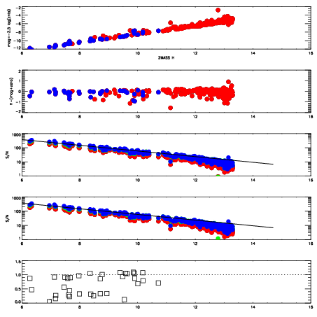
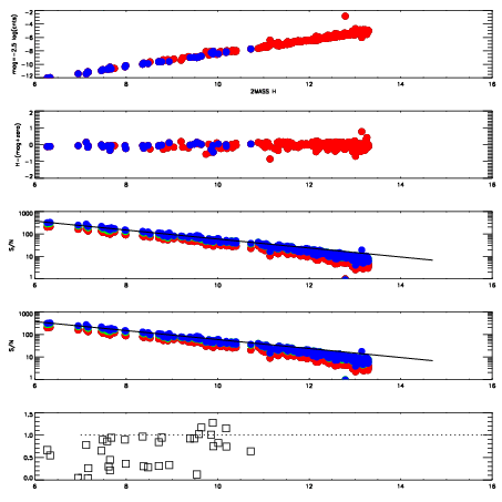
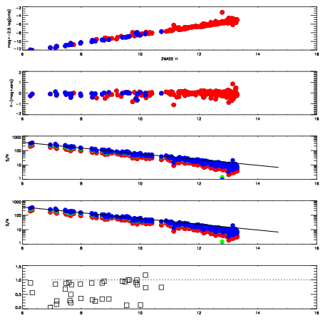
Frame | Nreads | Zeropoints | Mag plots
| Spatial mag deviation
| Spatial sky 16325A emission deviations (filled: sky, open: star)
| Spatial sky continuum emission
| Spatial sky telluric CO2 absorption deviations (filled: H < 10)
|
12680026
| 47
| | Red | Green | Blue
| z | | 18.49
| znorm | | 14.31
| sky | 14.2 | 14.0 | 14.2
| S/N | 10.7 | 15.9 | 16.1
| S/N(c) | 8.8 | 26.5 | 24.6
| SN(E/C) | 0.79
|
|
|
|
|
|
|
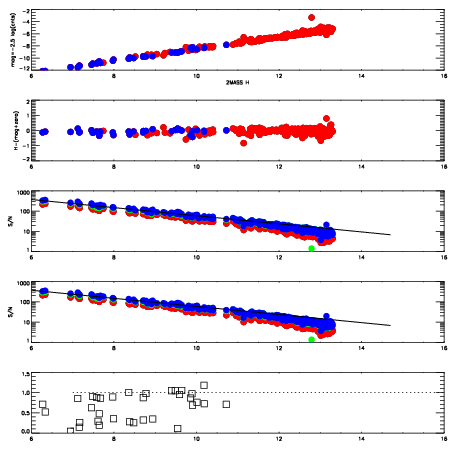
12680027
| 47
| | Red | Green | Blue
| z | | 18.45
| znorm | | 14.27
| sky | 14.3 | 14.1 | 14.2
| S/N | 10.5 | 15.9 | 16.1
| S/N(c) | 8.8 | 26.8 | 25.2
| SN(E/C) | 0.73
|
|
|
|
|
|
|
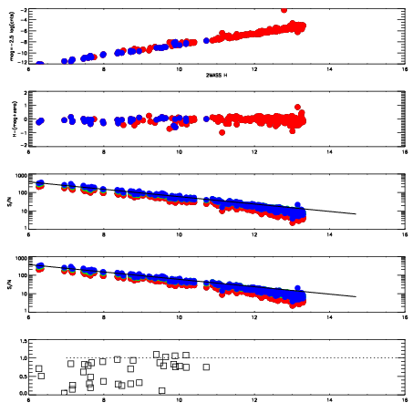
12680028
| 47
| | Red | Green | Blue
| z | | 18.43
| znorm | | 14.25
| sky | 14.4 | 14.0 | 14.2
| S/N | 10.3 | 15.6 | 16.0
| S/N(c) | 9.6 | 27.9 | 24.9
| SN(E/C) | 0.77
|
|
|
|
|
|
|
12680029
| 47
| | Red | Green | Blue
| z | | 18.48
| znorm | | 14.30
| sky | 14.3 | 14.1 | 14.3
| S/N | 10.7 | 16.1 | 16.0
| S/N(c) | 10.2 | 29.2 | 25.8
| SN(E/C) | 0.74
|
|
|
|
|
|
|
12680030
| 47
| | Red | Green | Blue
| z | | 18.41
| znorm | | 14.23
| sky | 14.2 | 14.0 | 14.2
| S/N | 9.7 | 15.2 | 15.2
| S/N(c) | 10.1 | 28.8 | 26.3
| SN(E/C) | 0.74
|
|
|
|
|
|
|
12680031
| 47
| | Red | Green | Blue
| z | | 18.52
| znorm | | 14.34
| sky | 14.2 | 14.1 | 14.1
| S/N | 10.5 | 16.8 | 16.7
| S/N(c) | 10.6 | 29.7 | 27.7
| SN(E/C) | 0.74
|
|
|
|
|
|
|
12680032
| 47
| | Red | Green | Blue
| z | | 18.54
| znorm | | 14.36
| sky | 14.1 | 14.0 | 14.1
| S/N | 10.6 | 16.9 | 16.6
| S/N(c) | 10.8 | 30.2 | 28.2
| SN(E/C) | 0.71
|
|
|
|
|
|
|
12680033
| 47
| | Red | Green | Blue
| z | | 18.51
| znorm | | 14.33
| sky | 14.1 | 14.0 | 13.9
| S/N | 10.4 | 16.4 | 15.9
| S/N(c) | 10.6 | 30.1 | 27.6
| SN(E/C) | 0.70
|
|
|
|
|
|
|