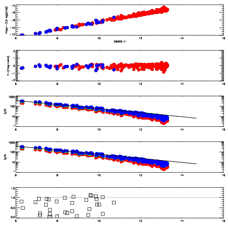
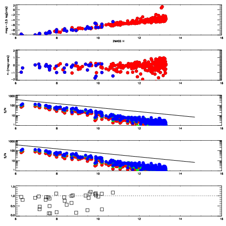
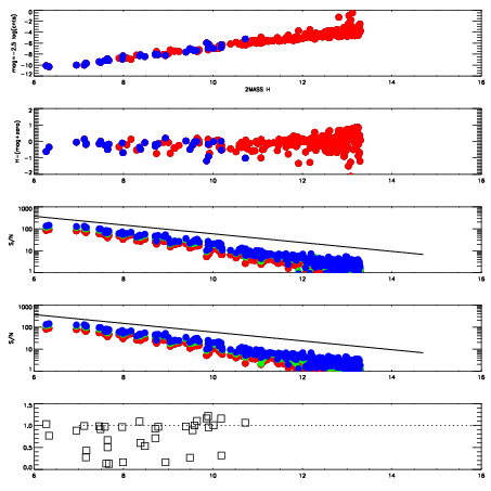
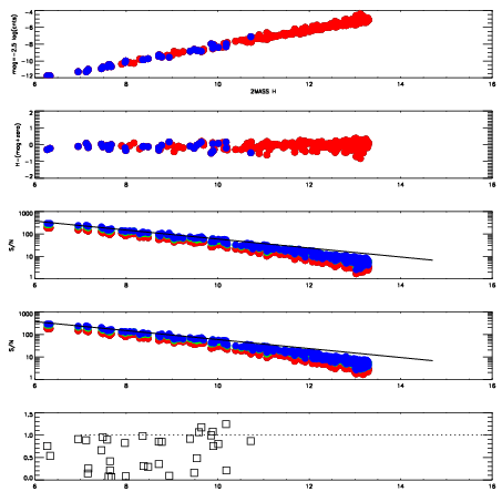
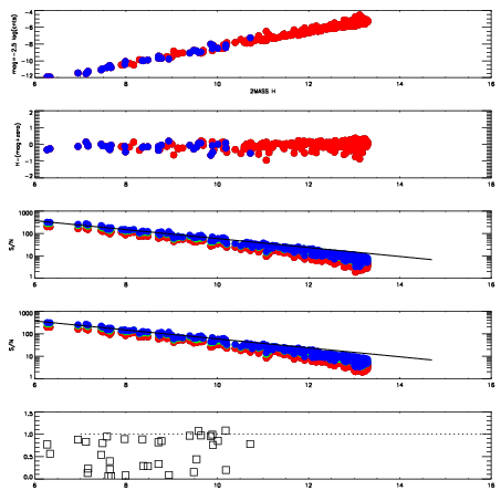
Frame | Nreads | Zeropoints | Mag plots
| Spatial mag deviation
| Spatial sky 16325A emission deviations (filled: sky, open: star)
| Spatial sky continuum emission
| Spatial sky telluric CO2 absorption deviations (filled: H < 10)
|
12320044
| 47
| | Red | Green | Blue
| z | | 16.87
| znorm | | 12.69
| sky | 12.1 | 12.0 | 12.1
| S/N | 2.1 | 3.4 | 2.6
| S/N(c) | 2.4 | 0.8 | 5.3
| SN(E/C) | 0.90
|
|
|
|
|
|
|
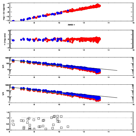
12320045
| 47
| | Red | Green | Blue
| z | | 16.45
| znorm | | 12.27
| sky | 12.1 | 12.0 | 12.1
| S/N | 1.3 | 2.3 | 2.1
| S/N(c) | 1.6 | 0.6 | 4.1
| SN(E/C) | 0.96
|
|
|
|
|
|
|
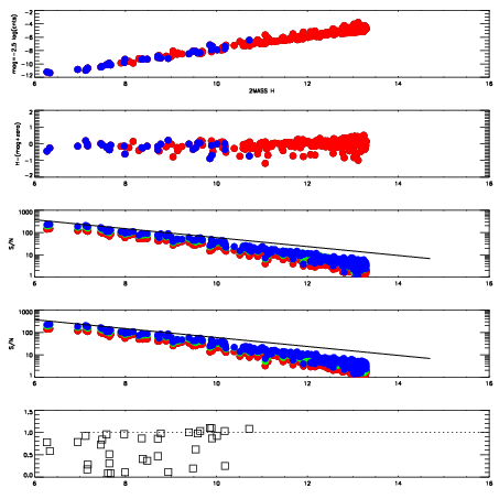
12320046
| 47
| | Red | Green | Blue
| z | | 16.99
| znorm | | 12.80
| sky | 12.1 | 12.1 | 12.2
| S/N | 2.4 | 3.8 | 3.6
| S/N(c) | 2.8 | 1.0 | 6.7
| SN(E/C) | 0.92
|
|
|
|
|
|
|
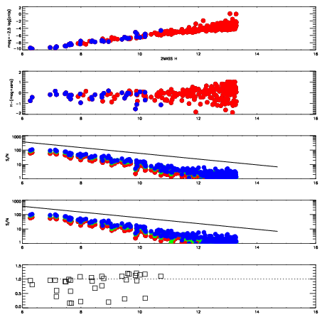
12320047
| 47
| | Red | Green | Blue
| z | | 17.91
| znorm | | 13.73
| sky | 12.3 | 12.2 | 12.3
| S/N | 5.9 | 8.9 | 8.4
| S/N(c) | 6.8 | 2.2 | 14.0
| SN(E/C) | 0.78
|
|
|
|
|
|
|
12320048
| 47
| | Red | Green | Blue
| z | | 18.52
| znorm | | 14.33
| sky | 13.0 | 12.9 | 13.0
| S/N | 10.5 | 16.0 | 15.5
| S/N(c) | 11.7 | 3.7 | 22.9
| SN(E/C) | 0.76
|
|
|
|
|
|
|
12320049
| 47
| | Red | Green | Blue
| z | | 18.57
| znorm | | 14.39
| sky | 13.4 | 13.3 | 13.3
| S/N | 11.1 | 17.6 | 16.4
| S/N(c) | 12.4 | 4.2 | 24.9
| SN(E/C) | 0.66
|
|
|
|
|
|
|
12320050
| 47
| | Red | Green | Blue
| z | | 18.33
| znorm | | 14.15
| sky | 12.8 | 12.8 | 12.8
| S/N | 8.7 | 13.6 | 13.5
| S/N(c) | 9.9 | 3.5 | 20.9
| SN(E/C) | 0.75
|
|
|
|
|
|
|
12320051
| 47
| | Red | Green | Blue
| z | | 18.56
| znorm | | 14.38
| sky | 13.0 | 12.9 | 13.0
| S/N | 10.8 | 16.8 | 16.3
| S/N(c) | 12.2 | 4.1 | 24.3
| SN(E/C) | 0.60
|
|
|
|
|
|
|