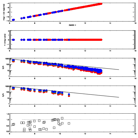
Left plots: red are targets, blue are telluric. Observed mags are calculated from median value of green chip. Zeropoint gives overall throughput: bigger number is more throughput.
First spatial plots: circles are objects, squares are tellurics, crosses are sky fibers. Colors give deviation of observed mag from expected 2MASS mag using the median zeropoint; red is brighter
Second spatial plots: circles are sky fibers. Colors give sky line brightness relative to plate median sky line brightness
FrameNreadsZeropointsMag plots Spatial mag deviation Spatial sky 16325A emission deviations (filled: sky, open: star) Spatial sky continuum emission Spatial sky telluric CO2 absorption deviations (filled: H < 10)
0 0
RedGreenBlue
z17.64
znorm Inf
sky -Inf -NaN -Inf
S/N 12.8 20.6 19.2
S/N(c) 0.0 0.0 0.0
SN(E/C) 0.69

IPAIRNAMESHIFTNEWSHIFTS/N NAMESHIFTNEWSHIFTS/N
0 12320049 0.492623 0.00000 18.5321 12320051 0.000159123 0.492464 18.5156
1 12320050 0.492061 0.000562012 18.2798 12320048 -0.000936334 0.493559 18.4290
2 12320046 0.491015 0.00160801 16.7903 12320047 -0.00212549 0.494749 17.8079
3 12320045 0.490988 0.00163502 16.2757 12320044 0.00000 0.492623 16.7603