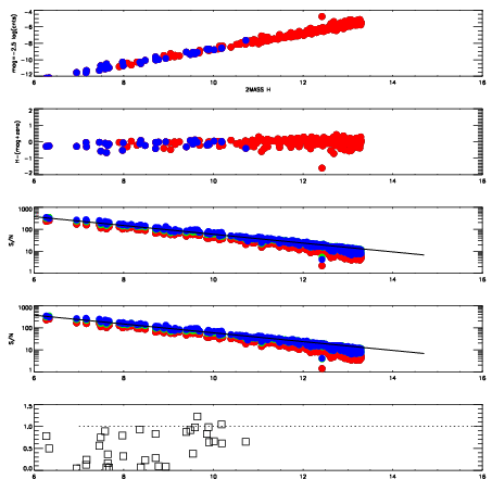
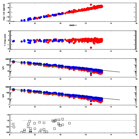
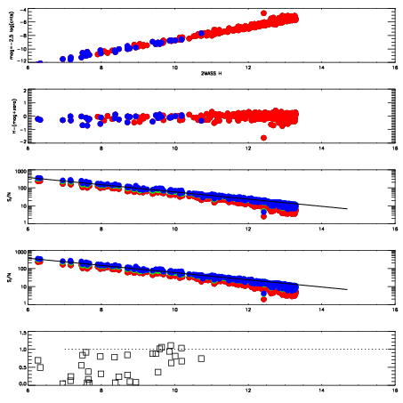
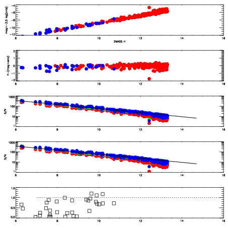
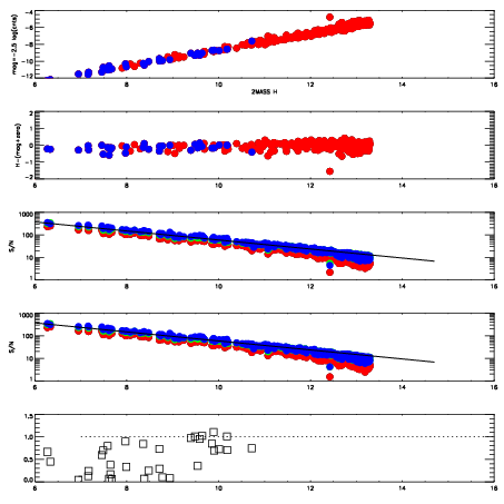
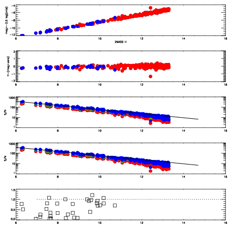
Frame | Nreads | Zeropoints | Mag plots
| Spatial mag deviation
| Spatial sky 16325A emission deviations (filled: sky, open: star)
| Spatial sky continuum emission
| Spatial sky telluric CO2 absorption deviations (filled: H < 10)
|
12500026
| 47
| | Red | Green | Blue
| z | | 18.52
| znorm | | 14.34
| sky | 14.4 | 14.3 | 14.4
| S/N | 10.5 | 17.3 | 16.0
| S/N(c) | 12.7 | 4.3 | 7.1
| SN(E/C) | 0.69
|
|
|
|
|
|
|
12500027
| 47
| | Red | Green | Blue
| z | | 18.77
| znorm | | 14.59
| sky | 14.6 | 14.4 | 14.9
| S/N | 11.5 | 19.8 | 19.5
| S/N(c) | 14.9 | 4.8 | 8.1
| SN(E/C) | 0.67
|
|
|
|
|
|
|
12500028
| 47
| | Red | Green | Blue
| z | | 18.81
| znorm | | 14.63
| sky | 14.6 | 14.5 | 14.7
| S/N | 12.2 | 20.3 | 20.4
| S/N(c) | 14.7 | 4.9 | 8.3
| SN(E/C) | 0.64
|
|
|
|
|
|
|
12500029
| 47
| | Red | Green | Blue
| z | | 18.78
| znorm | | 14.60
| sky | 14.5 | 14.5 | 14.7
| S/N | 12.5 | 20.6 | 20.6
| S/N(c) | 14.5 | 4.8 | 8.2
| SN(E/C) | 0.64
|
|
|
|
|
|
|
12500030
| 47
| | Red | Green | Blue
| z | | 18.75
| znorm | | 14.57
| sky | 14.5 | 14.7 | 14.8
| S/N | 12.2 | 20.4 | 20.1
| S/N(c) | 14.1 | 4.7 | 8.0
| SN(E/C) | 0.66
|
|
|
|
|
|
|
12500031
| 47
| | Red | Green | Blue
| z | | 18.76
| znorm | | 14.58
| sky | 14.5 | 14.6 | 14.8
| S/N | 12.8 | 21.0 | 20.9
| S/N(c) | 14.4 | 4.7 | 8.1
| SN(E/C) | 0.64
|
|
|
|
|
|
|
12500032
| 47
| | Red | Green | Blue
| z | | 18.74
| znorm | | 14.56
| sky | 14.7 | 14.7 | 14.8
| S/N | 12.7 | 20.8 | 21.0
| S/N(c) | 14.0 | 4.7 | 8.0
| SN(E/C) | 0.62
|
|
|
|
|
|
|
12500033
| 47
| | Red | Green | Blue
| z | | 18.86
| znorm | | 14.68
| sky | 14.6 | 14.6 | 14.8
| S/N | 13.7 | 21.9 | 21.8
| S/N(c) | 15.0 | 4.9 | 8.4
| SN(E/C) | 0.67
|
|
|
|
|
|
|