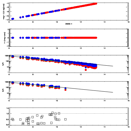
Left plots: red are targets, blue are telluric. Observed mags are calculated from median value of green chip. Zeropoint gives overall throughput: bigger number is more throughput.
First spatial plots: circles are objects, squares are tellurics, crosses are sky fibers. Colors give deviation of observed mag from expected 2MASS mag using the median zeropoint; red is brighter
Second spatial plots: circles are sky fibers. Colors give sky line brightness relative to plate median sky line brightness
FrameNreadsZeropointsMag plots Spatial mag deviation Spatial sky 16325A emission deviations (filled: sky, open: star) Spatial sky continuum emission Spatial sky telluric CO2 absorption deviations (filled: H < 10)
0 0
RedGreenBlue
z17.64
znorm Inf
sky -Inf -Inf -Inf
S/N 21.9 37.5 37.2
S/N(c) 0.0 0.0 0.0
SN(E/C) 0.52

IPAIRNAMESHIFTNEWSHIFTS/N NAMESHIFTNEWSHIFTS/N
0 12500028 0.495399 0.00000 18.7851 12500033 0.000672213 0.494727 18.8235
1 12500027 0.494120 0.00127900 18.7368 12500029 0.000430423 0.494969 18.7488
2 12500031 0.494313 0.00108600 18.7245 12500030 0.000748185 0.494651 18.7266
3 12500032 0.494918 0.000481009 18.7122 12500026 0.00000 0.495399 18.4981