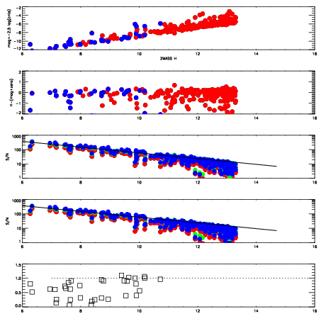
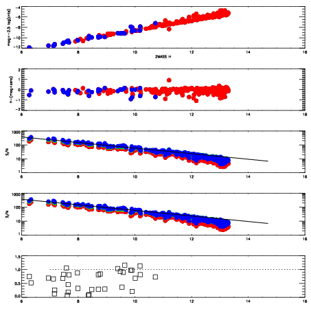
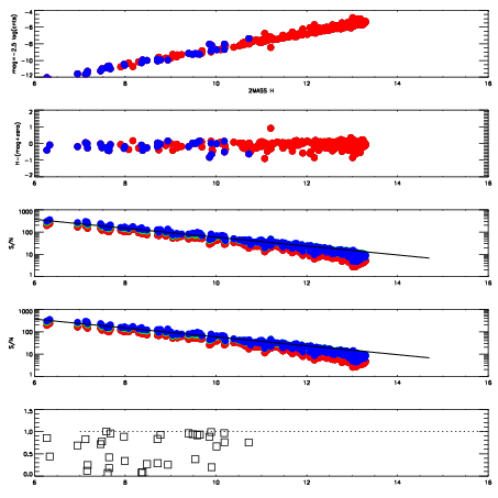
Frame | Nreads | Zeropoints | Mag plots
| Spatial mag deviation
| Spatial sky 16325A emission deviations (filled: sky, open: star)
| Spatial sky continuum emission
| Spatial sky telluric CO2 absorption deviations (filled: H < 10)
|
12660022
| 47
| | Red | Green | Blue
| z | | 18.67
| znorm | | 14.49
| sky | 14.0 | 13.6 | 13.7
| S/N | 10.6 | 17.3 | 16.7
| S/N(c) | 11.8 | 3.8 | 6.1
| SN(E/C) | 0.65
|
|
|
|
|
|
|
12660023
| 47
| | Red | Green | Blue
| z | | 18.35
| znorm | | 14.17
| sky | 14.0 | 13.7 | 13.8
| S/N | 8.7 | 14.2 | 15.2
| S/N(c) | 10.0 | 3.3 | 5.5
| SN(E/C) | 0.80
|
|
|
|
|
|
|
12660024
| 47
| | Red | Green | Blue
| z | | 18.29
| znorm | | 14.11
| sky | 14.1 | 13.8 | 13.9
| S/N | 9.3 | 14.3 | 14.0
| S/N(c) | 9.7 | 3.4 | 5.6
| SN(E/C) | 0.76
|
|
|
|
|
|
|
12660025
| 47
| | Red | Green | Blue
| z | | 18.37
| znorm | | 14.19
| sky | 14.1 | 13.9 | 14.0
| S/N | 10.0 | 15.1 | 15.2
| S/N(c) | 10.5 | 3.7 | 6.2
| SN(E/C) | 0.74
|
|
|
|
|
|
|
12660026
| 47
| | Red | Green | Blue
| z | | 18.44
| znorm | | 14.26
| sky | 14.2 | 13.9 | 14.0
| S/N | 11.2 | 16.5 | 15.8
| S/N(c) | 11.3 | 3.7 | 6.3
| SN(E/C) | 0.82
|
|
|
|
|
|
|
12660027
| 47
| | Red | Green | Blue
| z | | 18.48
| znorm | | 14.30
| sky | 14.3 | 13.9 | 14.0
| S/N | 11.4 | 16.9 | 17.0
| S/N(c) | 11.7 | 3.9 | 6.6
| SN(E/C) | 0.71
|
|
|
|
|
|
|
12660028
| 47
| | Red | Green | Blue
| z | | 18.65
| znorm | | 14.47
| sky | 14.2 | 13.9 | 14.0
| S/N | 12.7 | 19.0 | 18.7
| S/N(c) | 13.0 | 4.3 | 7.2
| SN(E/C) | 0.69
|
|
|
|
|
|
|
12660029
| 47
| | Red | Green | Blue
| z | | 18.73
| znorm | | 14.55
| sky | 14.4 | 14.0 | 14.1
| S/N | 13.4 | 19.8 | 19.9
| S/N(c) | 13.7 | 4.6 | 7.8
| SN(E/C) | 0.72
|
|
|
|
|
|
|