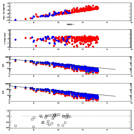
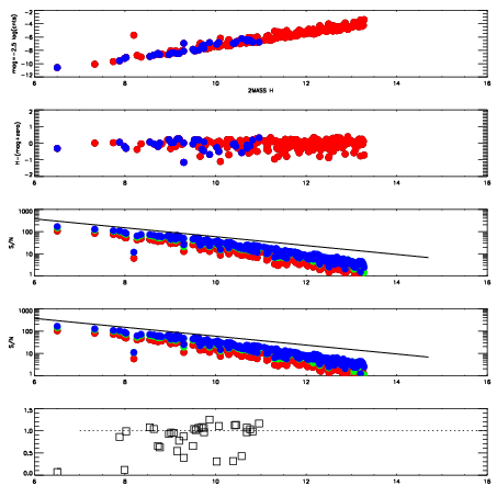
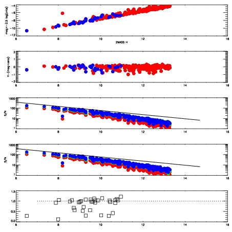
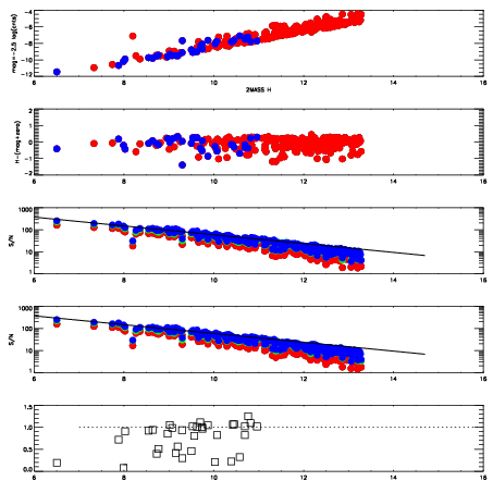
Frame | Nreads | Zeropoints | Mag plots
| Spatial mag deviation
| Spatial sky 16325A emission deviations (filled: sky, open: star)
| Spatial sky continuum emission
| Spatial sky telluric CO2 absorption deviations (filled: H < 10)
|
12620022
| 47
| | Red | Green | Blue
| z | | 18.24
| znorm | | 14.06
| sky | 14.4 | 14.0 | 14.0
| S/N | 6.9 | 12.6 | 11.8
| S/N(c) | 14.7 | 21.2 | 18.5
| SN(E/C) | 0.91
|
|
|
|
|
|
|
12620023
| 47
| | Red | Green | Blue
| z | | 18.52
| znorm | | 14.34
| sky | 14.2 | 14.1 | 14.3
| S/N | 9.8 | 16.4 | 15.9
| S/N(c) | 17.9 | 25.1 | 22.1
| SN(E/C) | 0.92
|
|
|
|
|
|
|
12620024
| 47
| | Red | Green | Blue
| z | | 18.62
| znorm | | 14.44
| sky | 14.4 | 14.1 | 14.3
| S/N | 10.4 | 16.6 | 16.3
| S/N(c) | 19.5 | 27.4 | 23.7
| SN(E/C) | 0.89
|
|
|
|
|
|
|
12620025
| 47
| | Red | Green | Blue
| z | | 18.36
| znorm | | 14.18
| sky | 14.4 | 14.1 | 14.3
| S/N | 9.1 | 15.0 | 14.9
| S/N(c) | 16.5 | 23.6 | 21.0
| SN(E/C) | 0.91
|
|
|
|
|
|
|
12620026
| 47
| | Red | Green | Blue
| z | | 16.75
| znorm | | 12.57
| sky | 14.1 | 14.2 | 14.4
| S/N | 2.3 | 4.8 | 4.7
| S/N(c) | 5.2 | 9.0 | 8.2
| SN(E/C) | 1.00
|
|
|
|
|
|
|
12620027
| 47
| | Red | Green | Blue
| z | | 17.39
| znorm | | 13.21
| sky | 13.5 | 13.5 | 13.7
| S/N | 3.9 | 7.1 | 7.1
| S/N(c) | 8.3 | 12.7 | 11.4
| SN(E/C) | 0.96
|
|
|
|
|
|
|
12620028
| 47
| | Red | Green | Blue
| z | | 16.19
| znorm | | 12.01
| sky | 13.3 | 13.3 | 13.5
| S/N | 1.4 | 2.8 | 2.6
| S/N(c) | 3.0 | 5.1 | 4.5
| SN(E/C) | 1.01
|
|
|
|
|
|
|
12620029
| 47
| | Red | Green | Blue
| z | | 17.54
| znorm | | 13.36
| sky | 13.7 | 13.7 | 13.7
| S/N | 4.5 | 8.4 | 8.3
| S/N(c) | 9.5 | 14.2 | 13.0
| SN(E/C) | 0.97
|
|
|
|
|
|
|